Министерство
образования и науки РФ
Федеральное
государственное бюджетное образовательное учреждение высшего профессионального
образования
Дагестанский
государственный университет
Физический
факультет
Учебное пособие
Классификация
и некоторые особенности»
Часть 1
Доцент каф.ЭФ,
К.ф.м.н. Офицерова
Н.В.
Махачкала 2017
§1.
Классификация наноматериалов
§2.
Границы раздела в наноматериалах
§3. Структурные элементы (зерна, слои, включения и поры) в наноматериалах
§6.
Структура полимерных, биологических и углеродных наноматериалов
Тубулярные и луковичные структуры.
Нанотехнология как междисциплинарное направление, сформировавшееся в
мировой науке и технике в последние 15—20 лет, изучает объекты, размер которых
составляет примерно 0,1 — 100 нм (1 нм = 10-9 м); это так называемые малоразмерные объекты. Важной
составляющей этого научно-технического направления является разработка наноструктурных материалов. Под наноструктурными (нанокристаллическими, нанокомпозитными,
нанофазными, нановолокнистыми
и т.д.) материалами принято понимать материалы, основные структурные элементы которых
(кристаллиты, волокна, слои, поры) не превышают 100 нм,
по крайней мере, в одном направлении. В задачу материаловедческих исследований
входит установление многообразных связей между свойствами и структурой
материалов с выявлением оптимальных наноструктур, что
осуществляется в тесной связи с технологией изготовления и последующей
эксплуатацией наноструктурных материалов.
Благодаря
своим уникальным свойствам наноструктурные материалы
(далее — наноматериалы) занимают ведущее положение в
современном материаловедении. Значительно вырос информационный поток по нанотехнологии и наноматериалам —
статьи в журналах и сборниках, труды многочисленных конференций и семинаров,
патенты, отдельные монографии. Однако учебная литература по наноматериалам
практически отсутствует.
Переход
от свойств изолированных наночастиц к свойствам
объёмных (массивных) кристаллических веществ в течение многих десятилетий
оставался белым пятном, так как отсутствовало промежуточное звено — компактное
твёрдое тело с зёрнами нанометрового размера. Лишь
после 1985 года, когда были созданы методы получения компактных нанокристаллических веществ, началось интенсивное
заполнение отмеченного пробела в знаниях о твёрдом теле. Однако вопрос о том,
как быстро нарастает и на каком этапе объединения атомов завершается
формирование того или иного свойства массивного кристалла, до сих пор не решен.
Не вполне ясно, каковы и как могут быть разделены вклады поверхностных
(связанных с границами раздела) и объёмных (связанных с размером частиц)
эффектов в свойства наноматериалов. Длительное время
исследования в этом направлении проводились на изолированных кластерах,
содержащих от двух атомов до нескольких сотен, малых частицах с размером более
1 нм и ультрадисперсных порошках. Структуру и
свойства объёмных нанокристаллических веществ и
материалов стали изучать только после 1985 года.
Для
исследователя и инженера, привыкших работать с традиционными веществами и
материалами, элементы микроструктуры которых имеют
размеры около микрометра и больше, первая встреча с наноматериалами
вызывает, как минимум, удивление. То же самое относится к нанокристаллическому
состоянию - оно необычно, но с ним можно и интересно работать. В конце декабря
1959 года Р. Фейнман, выступая с лекцией на рождественском обеде в Калифорнийском
технологическом институте, обратил внимание на проблему контроля и управления
строением вещества в интервале очень малых размеров как на малоизученную, но
очень перспективную область физики и науки в целом. В частности, он отметил,
что «научившись регулировать и контролировать структуры на атомном уровне, мы
получим материалы с совершенно неожиданными свойствами и обнаружим совершенно
необычные эффекты. …Развитие техники манипуляции на атомарном уровне позволит
решить многие проблемы…». Технику манипуляции на атомарном уровне сейчас
называют нанотехнологией.
Термин «нанотехнология» впервые был введен японким профессором Норио Танигучи в его докладе «Основные принципы нанотехнологии» (On the Ваsiс Concept of Nanotechnology) на международной конференции «International Conference on Precision Engeneering», в Токио в 1974 году при обсуждении проблем обработки
хрупких материалов. Принципиальное значение малоразмерных
объектов было подчеркнуто нобелевским лауреатом Р. Фейнманом в
В
Параллельно
развивались и концепции наноматериалов. Впервые они
были сформулированы применительно к металлическим материалам Г. Глейтером (


Рис.1. Аббревиатура
IВМ из 35 ксеноновых атомов на грани (110) никелевого
монокристалла.
изготовления
ультра дисперсных порошков путем испарения
- конденсации с их последующей вакуумной консолидацией при высоких
давлениях, что обеспечивало получение дискообразных образцов диаметром до 10 -
Метод
Г. Глейтера был взят на вооружение во многих странах,
и разнообразная информация о свойствах наноматериалов
стала накапливаться лавинообразно. В нашей стране одна из первых работ в этом
направлении была опубликована в
Следует отметить, что изучение малоразмерных объектов
(порошков, коллоидов, катализаторов, цеолитов, пигментов, пленок, кластеров и
др.) и квантовых размерных явлений началось задолго до «нанобума». Более того, археологические находки
свидетельствуют о существовании рецептур приготовления коллоидных систем еще в
античном мире. «Китайские чернила» (коллоидный раствор сажи в воде с добавками
гуммиарабика; последние способствуют предотвращению агломерации дисперсных
частиц сажи и их осе- дания,
стабилизируя свойства чернил во времени), например, появились более четырех
тысяч лет назад в Древнем Египте, а возраст биологических нанообъектов
может исчисляться с момента возникновения жизни на Земле. Примеры нанотехнологических прозрений ХIХ в.
можно усмотреть также в так называемом «демоне» Д.
Максвелла, разделяющем молекулы по скоростям, и в лесковском
Левше, который старым способом «сверху – вниз» изготовил «наногвозди»
и подковал ими «аглицкую» блоху (своеобразный аналог микроустройства).
Устами Левши Н.С.Лесков отмечает в
Научные
исследования нанообъектов начинаются в ХIХ в., когда М. Фарадей (1856 - 1857
гг.) получает и исследует свойства коллоидных растворов высокодисперсного
золота и тонких пленок на его основе. Отмеченное М. Фарадеем изменение цвета в
зависимости от размера частиц — едва ли не первый пример исследования размерных
эффектов в нанообъектах.
Широкий
интерес, который проявляется к ним в последнее время, обусловлен, по крайней
мере, тремя обстоятельствами.
Во-первых,
методы нанотехнологии позволяют получить
принципиально новые устройства и материалы с характеристиками, значительно
превосходящими их современный уровень, что весьма важно для интенсивного
развития многих областей техники, биотехнологии, медицины, охраны окружающей
среды, обороны и т.д.
Во-вторых, нанотехнология оказалась
весьма широким междисциплинарным направлением, объединяющим специалистов в
области физики, химии, материаловедения, биологии, медицины, технологии, наук о
Земле, компьютерной техники, экономики, социологии и др.
Наконец,
в-третьих, решение проблем нанотехнологии выявило
много пробелов как в фундаментальных, так и в
технологических знаниях, что опять-таки способствовало концентрации внимания
научно-инженерного сообщества в этом направлении.
К некоторым
приоритетным направлениям нанотехнологии, разрабатывающих новые перспективные методы, материалы и
устройства относятся:
•
молекулярный дизайн материалов и веществ с заданными свойствами, значительно
превосходящими свойства их современных аналогов;
• нанопроцессоры с низким уровнем энергопотребления и
существенно более высокой производительностью;
•
небольшие по размеру запоминающие устройства с огромным (мультитерабитным)
объемом памяти;
•
новые лекарственные препараты и методы их введения в организм (проблемы
сверхмалых доз и их адресной доставки);
•
новые методы мониторинга окружающей среды и организма человека с использованием
наносенсоров.
§ 1. Классификация наноматериалов.
Среди
наноматериалов можно выделить несколько основных разновидностей:
консолидированные наноматериалы, нанополупроводники,
нанополимеры, нанобиоматериалы,
фуллерены и тубулярные наноструктуры, катализаторы, нанопористые материалы и супрамолекулярные
структуры.
Это
разделение весьма условно, поскольку существуют, например, гибридные
металлополимерные или биополимерные нанокомпозиты. Причем в класс наноматериалов
входят как новые (например, нанотрубчатым материалам
всего лишь около 20 лет), так и довольно старые объекты (например, катализаторы
и нанопористые материалы).
К консолидированным наноматериалам
относят компакты, пленки и покрытия из металлов, сплавов и соединений,
получаемые методами порошковой технологии, интенсивной пластической деформации,
контролируемой кристаллизации из аморфного состояния и разнообразными приемами
нанесения пленок и покрытий.
Нанозерна (нанокристаллиты) этих материалов находятся не в
изолированном (т. е. в виде отдельных образований) или слабо - связанном (например, наночастицы
с защитными полимерными оболочками) виде, а в консолидированном состоянии.
Прочность межзеренных прослоек в
консолидированных наноматериалах довольно высока.
Нанополупроводники, нанополимеры и нанобиоматериалы
могут быть как в
изолированном, так и частично в консолидированном состоянии, образуя также
гибридные (смешанные) материалы.
Фуллерены и тубулярные наноструктуры стали предметом многочисленных исследований, начиная с
Нанопористые материалы характеризуются размером
пор, как правило, менее 100 нм. Катализаторы - также один из примеров давно исследуемых и широко
применяемых нанообъектов. Наконец, супрамолекулярные структуры - это наноструктуры,
получаемые в результате так называемого нековалентного
синтеза с образованием слабых (ван-дер-ваальсовых, водородных и др.) связей
между молекулами и их ансамблями.
Таким образом,
перечисленные виды наноматериалов весьма отличаются
как по технологии изготовления, так и по функциональным признакам, их
объединяет только характерный малый размер частиц, зерен, трубок, пор,
определяющий структуру и свойства. Минимальный размер структурных элементов
составляет (0,1 — 1,0) 10-9 нм, т. е. по
существу отвечает размерам отдельных атомов и молекул, максимальный размер -
100 нм - установлен условно.


Рис.2. Модели углеродных
многослойных нанотрубок и фуллерена.
Иногда
высказывается мнение, что верхний предел (максимальный размер элементов) нанокристаллического состояния должен быть связан с
каким-либо характерным физическим параметром - длиной свободного пробега
носителя, диаметром петли Франка - Рида для скольжения дислокаций, размером
домена или доменной стенки и, наконец, длиной волны электрона де Бройля. Однако
диапазон изменения этих характерных физических параметров, определяющих
электрические, магнитные, деформационные и другие свойства применительно к
разнообразным твердотельным объектам, весьма широк и установить
какой-либо единый верхний предел не представляется возможным.
Наука
о малоразмерных объектах (nanosсiеnсе) — это совокупность знаний о
свойствах веществ и явлений в нанометровом масштабе.
Наночастицы (нанопорошки) — это малоразмерные
твердые вещества, геометрический размер которых изменяется от десятых долей до
100 нм. Понятия «наночастицы»
и «нанопорошки» во многом перекрываются, но, конечно,
следует иметь в виду воз-можный
изолированный характер первых и обязательно совокупный вид последних (порошок -
это совокупность находящихся в соприкосновении индивидуальных твердых частиц
небольших размеров (от 0,001 до 103 мкм)). Считается, что наночастицы с уменьшением размера переходят в кластеры,
содержащие от 10 до нескольких тысяч атомов (по разным данным, примерно до 2000
- 10000). Полагают также, что для кластеров, в отличие от кристаллических
частиц, характерна потеря трансляционной симметрии. К наночастицам
сейчас относят и полупроводниковые квантовые точки, и полимерные дендримеры.
Малые
атомные агрегации (кластеры) являются промежуточным звеном между изолированными
атомами и молекулами, с одной стороны, и массивным (объёмным) твёрдым телом, с
другой стороны. Переход от дискретного электронного энергетического спектра,
свойственного отдельным атомам и молекулам, к зонному электронному
энергетическому спектру, характерному для твёрдого тела, происходит через
кластеры. Отличительной чертой кластеров является немонотонная зависимость
свойств от количества атомов в кластере. В нанокристаллических
дисперсных и объёмных материалах такая зависимость свойств отсутствует, но
появляется зависимость свойств от размера частиц (зёрен, кристаллитов). Кластер
представляет собой группу из небольшого (счетного) и, в общем случае,
переменного числа взаимодействующих атомов (ионов, молекул). Ясно, что
минимальное число атомов в кластере равно двум. Верхней границе кластера
соответствует такое число атомов, когда добавление еще одного атома уже не
меняет свойства кластера, так как переход количественных изменений в качественные уже закончился. Положение верхней границы
кластера неоднозначно, но с химической точки зрения большая часть изменений
заканчивается, когда число атомов в группе не превышает 1 - 2 тысячи. Верхнюю
границу размеров кластера можно рассматривать как границу между кластером и изолированной наночастицей.
Проблема
получения объёмных (bulk) сверхмелкозернистых материалов и
тонкодисперсных порошков металлов, сплавов и соединений, предназначенных для различных
областей техники, давно обсуждается в литературе. Объёмные сверхмелкозернистые
материалы можно получать непосредственно из объёмных крупнозернистых и аморфных
материалов или же методами порошковой технологии (включая компактирование
(прессование) и спекание) из тонкодисперсных порошков. В последние десятилетия
интерес к методам получения сверхмелкозернистых
объёмных и дисперсионных материалов существенно вырос, так как обнаружилось (в
первую очередь, на металлах), что уменьшение размера структурных элементов
(частиц, кристаллитов, зёрен) ниже некоторой пороговой величины может приводить
к заметному изменению свойств. Такие эффекты появляются, когда средний размер
кристаллических зёрен не превышает 100 нм, и наиболее
отчетливо наблюдаются, когда размер зёрен менее 10 нм.
Изучение свойств сверхмелкозернистых материалов
требует учёта не только их состава и структуры, но и дисперсности.
Поликристаллические сверхмелкозернистые материалы со
средним размером зёрен от 300 до 40 нм называют
обычно субмикрокристаллическими, а со
средним размером зерен менее 40 нм нанокристаллическими.
Условная классификация материалов по размеру D частиц
(зёрен) согласно [1] приведена в таблице 1.
Термин
«нано» происходит от греческого слова «нанос» (карлик) и соответствует одной
миллиардной части единицы. Таким образом, нанотехнологии
и науки о наноструктурах и наноматериалах
имеют дело с объектами конденсированного вещества размером от 1 до 100 нм.
Для того, чтобы нагляднее представить
место наноматериалов окружающем мире, можно сравнить
Вселенную, Солнце и наночастицу размером 10 нм = 10-
Наноматериалы можно классифицировать также по геометрической форме и
размерности структурных элементов, из которых они состоят. Основными типами нанокристаллических материалов по размерности являются (рис.3):
Классификация веществ и
материалов по размеру D частиц (зёрен)
|
№ пп |
Материалы |
Размеры частиц (зерен) D |
Число атомов в частице (зерне) |
|
1 |
Крупнозернистые материалы |
³ 1 мкм |
³ 2х108
- 109 |
|
2 |
Субмикрокристаллические
материалы |
300 - 40 нм |
От 2х108 - 109
до 106 - 107 |
|
3 |
Нанокристаллические
материалы |
менее 40 нм |
От 106 - 107 до 500 -1500 |
|
4 |
Икосаэдрические
металлические кластеры |
менее 10 нм
|
От 500 -1500 до 20 - 70 |
|
5 |
Молекулярные кластеры (фуллерены
и др.) |
Менее 1 нм |
От 3 – 4 до 1 |
|
6 |
Атомы и (2-3)-атомные молекулы |
~ 100 пм |
|
1.
Кластерные
материалы.
2.
Волоконные
материалы.
3.
Плёнки
и многослойные материалы.
4.
Поликристаллические
материалы, зёрна которых имеют сравнимые размеры во всех трех направлениях.

Рис.3. Типы
нанокристаллических материалов: 0D - (нульмерные) кластеры; 1D - (одномерные) нанотрубки,
волокна и прутки; 2D -
(двумерные) плёнки и слои; 3D -
(трехмерные) поликристаллы.
При
плавном уменьшении размеров образца от больших (макроскопических) значений,
например, метра или сантиметра, до очень маленьких свойства сначала остаются
неизменными, затем начинают медленно меняться, а при размерах менее 100 нм могут измениться радикально. Если размеры образца в
одном измерении лежат в нанометровом диапазоне, а в
двух других остаются большими, то получившаяся структура называется квантовой ямой. Если образец мал в двух
измерениях и имеет большие размеры в третьем, то такой объект называют квантовой проволокой. Предельный случай
этого процесса уменьшения размеров, при котором размеры во всех трех измерениях
лежат в нижней части нанометрового диапазона,
называется квантовой точкой. Эпитет «квантовый» в названиях этих трех типов наноструктур используют потом что
в области ультрамалых масштабов возникает изменение свойств квантовомеханической
природы. Рис.4., 5 иллюстрирует этот
процесс уменьшения размеров для прямоугольной и круглой геометрии. Особенно
интересным является воздействие таких изменений на электронные свойства.

Рис.4. Последовательность прямоугольных
наноструктур.

Рис.5. Последовательность круглых
наноструктур.
Свойства
наноматериалов, в том числе эксплуатационные
характеристики, определяются их структурой; изучение последней является одной
из важных задач наноструктурного материаловедения.
Воспользуемся классификацией Г. Глейтера, чтобы
охарактеризовать основные типы структур неполимерных наноматериалов (табл. 2).
По
химическому составу и распределению фаз можно выделить четыре типа структуры:
однофазные, статистические многофазные с идентичными и неидентичными поверхностями
раздела и матричные многофазные. Также выделяют три типа структуры по форме: пластинчатая, столбчатая и содержащая равноосные включения. Эта классификация учитывает
возможность сегрегаций на межкристаллитных границах (идентичные и неидентичные
поверхности раздела).


Рис.6. Микрофотографии наноструктур
[1]: а - компакт Pd;
б - компакт ТiN; в - излом пленки ТiN; г - поверхность пленки ТiN; д - многослойная пленка (сверхрешетка)
Мо - V; е - закаленный из жидкого состояния сплав Аl - Pb (10 %); ж, з – соответственно, ячеистая и дендритно - ячеистая структура сплава Fe - Si, закаленного
из жидкого состояния.
Однако
реальное разнообразие структурных типов может быть и более широким за счет
смешанных вариантов, наличия пористости, трубчатых и луковичных структур, полимерных
составляющих и т.д. Наиболее распространенными являются одно- и многофазные
матричные и статистические объекты, столбчатые и многослойные структуры;
последние характерны в большинстве случаев для пленок.
На
рис. 6, 7 показаны типичные структуры консолидированных наноматериалов.
Эти снимки получены с помощью высокоразрешающих и обычных просвечиваюших
электронных микроскопов (ПЭМ) (рис.6а, д - з; рис.7), высокоразрешающего
сканирующего электронного микроскопа (рис. 6б, в) и атомносилового
микроскопа (рис.6г) с увеличением в 20 000 – 3 500000 раз. Столбчатая
и пластинчатая структуры пленок представлены на рис.6в - д; однофазные
структуры - на рис.6, а - г, ж; многофазные - на рис.6 д, е, з; рис.7.

Рис.7. Электронно-микроскопическое изображение квантовых
точек InGaAs
(а), сформированных на поверхности эпитаксиальных слоев GaAs (б) [1]
§2. Границы раздела в нанокристаллических материалах.
Материалы со структурой, состоящей из кристаллических зерен
размером 1 - 15 нм, называют нанокристаллическими материалами.
В
таких материалах от 2 до 50% объема приходится на межзеренные
или межфазные границы. Поэтому нанокристаллический
материал может быть разделен на два структурных компонента: кристаллический, который включает в себя
атомы, расположенные внутри кристаллитов, и межкристаллитный,
образуемый из всех атомов, расположенных на границе. Расположение в
пространстве граничных атомов отличается от расположения решеточных атомов. В
кристаллитах имеется дальний порядок расположения атомов (см. рис.8).
Дальний порядок - корреляция микроструктуры вещества
в пределах всего макроскопического образца.

Рис.8.
Схематическое представление структуры нанокристаллического
материала: черные кружочки атомы в кристаллитах (В), серые - в межзеренных
границах (А)
Атомная
структура границ не простая и зависит от многих параметров, в первую очередь,
от ориентации двух соседних кристаллов. Поскольку кристаллиты, формирующие нанокристаллический материал, ориентированы случайно, то
таких границ, имеющих различное строение, может быть ~ 1019
в 1 см3. Таким образом, межкристаллитный компонент представляет
собой огромную сумму различных положений атомов в пространстве, задаваемых
различно ориентированными зернами. Хаотичное расположение атомов в границе -
характерная черта нанокристаллических материалов
(рис.8).
Перед
обсуждением микроструктуры нанокристаллических
материалов, т.е. поликристаллических веществ, уточним некоторые понятия,
которые будут использоваться далее. В поликристаллическом веществе существуют три типа касания зёрен. Это поверхности
касания, линии касания и точки касания. Поверхности двух зёрен, касающиеся друг
друга, называются границами раздела или
интерфейсами (interface). Линия касания может быть общей линией для трех и более
соседних зёрен. Линия касания трех зёрен называется тройным стыком (triple junction). Тройные стыки наиболее часто
встречаются среди всех линий касания, которые существуют в поликристаллах. В точке касания соединяются обычно около
шести зёрен. Границей зерна является его поверхность. Границы зёрен,
наблюдаемые на шлифах, являются сечением интерфейсов плоскостью шлифа. Тройная
точка представляет собой сечение линии касания трех зёрен, т. е. тройного
стыка, плоскостью.
Плотность
нанокристаллических материалов, полученных разными
методами компактирования нанопорошков,
составляет от 70 - 80% до 95 - 97% теоретической плотности. В простейшем случае
нанокристаллический материал, состоящий из атомов
одного сорта, содержит два компонента, различающихся по структуре:
упорядоченные зёрна (кристаллиты) размером 5 - 20 нм
и межкристаллитные границы шириной до 1,0 нм (рис.9). Все кристаллиты имеют одинаковую структуру и отличаются
только своей кристаллографической ориентацией и размерами. Структура границ
раздела определяется типом межатомных взаимодействий (металлические,
ковалентные, ионные) и взаимной ориентацией соседних кристаллитов. Разная
ориентация соседних кристаллитов приводит к некоторому уменьшению плотности
вещества в границах раздела. Кроме того, атомы, принадлежащие границам раздела,
имеют иное ближайшее окружение, чем атомы в кристаллитах. действительно, рентгено-
и нейтронографические исследования нанокристаллического компактированного
Pd показали,
что плотность вещества границ раздела на 20 - 40% меньше плотности обычного Pd, а координационное число атома,
принадлежащего границе раздела, меньше координационного числа атома в обычном
кристалле. Ширина границ раздела, определенная разными методами на различных
компактных нанокристаллических материалах, составляет
от 0,4 до 1,0 нм.

Рис.9.
Компьютерная двумерная модель атомной структуры нанокристаллического
материала [2]: (°) — атомы кристаллитов; (·) — атомы границ
раздела, смещенные относительно узлов идеальной
кристаллической решётки более чем на 10%; все атомы
химически идентичны.
Согласно первоначальным
модельным представлениям структура межкристаллитного вещества характеризуется
произвольным размещением атомов и отсутствием не только дальнего, но и ближнего
порядка. Такое состояние назвали газоподобным, имея
в виду не подвижность атомов, а только их расположение (рис.9).
Экспериментальным свидетельством некоторой разупорядоченности межкристаллитного вещества в наноматериалах, полученных компактированием,
послужили результаты дифракционных исследований.
Вместе с тем последующие
исследования показали, что структура границ раздела в наноматериалах
близка к таковой в обычных поликристаллах и степень порядка во взаимном расположении
атомов в границах раздела значительно выше, чем предполагали раньше. Применение
электронной микроскопии высокого разрешения показало, что в наноматериалах,
как и в обычных поликристаллах, атомы границ раздела находятся под влиянием
только двух соседних кристаллитов. Поры были обнаружены только в тройных
стыках, а не по всей протяженности границ раздела; плотность атомов в
межкристаллитных границах оказалась практически такой же, как в кристаллитах.
В целом для структуры наноматериалов характерно обилие поверхностей раздела (межзеренных границ и тройных стыков — линий встречи трех
зерен). На рис.10а показана схема тройного стыка,
образованного зернами в виде тетраэдрических додекаэдров; на рис.10б
представлена зависимость общей доли поверхностей раздела, а также доли
собственно межзеренных границ и доли тройных стыков
от размера зерен. График на рис.10б построен на основании простых
геометрических соображений. Так, общая доля поверхностей раздела составляет

доля
собственно межзеренных границ

и
соответственно доля тройных стыков

![]()
Здесь
L - размер зерна; s - ширина границы (приграничной
зоны).
Из
данных рис.10б следует, что существенная доля поверхностей
раздела (несколько процентов) отвечает размеру зерен L < 100 нм; при L £ 10 нм доля
Vпр составляет уже несколько десятков процентов, причем в этом
интервале значений L доля тройных стыков стремительно
растет. Доля поверхностей раздела в общем объеме материала приблизительно равна
, где при
доля Vпр = 50% достигается при
.

Рис.10. Схема тройного стыка (а) и влияние размера зерна (б)
на общую долю поверхностей раздела (1), долю межзеренных
границ (2) и тройных стыков (3) при s = 1 нм.
Таким
образом, если твердое тело состоит из кристаллитов размером несколько
нанометров (< 10 нм), то доля поверхностей раздела
или доля областей с разупорядоченной структурой весьма велика.
Хотя
данные рис.8б дают лишь приблизительную оценку, поскольку получены с
использованием грубых моделей, но, в принципе, они правильно характеризуют долю
поверхностей раздела в структуре наноматериалов. Рост
этой доли с уменьшением размера зерен - один из факторов, определяющих
неравновесное состояние наноматериалов за счет увеличения
избыточной свободной поверхностной энергии. Отметим также, что значения
межфазной и граничной поверхностной энергии наноматериалов
могут отличаться от таковых для обычных крупнокристаллических материалов.
Надежные опытные данные об энергетических характеристиках поверхностей раздела
в наноматериалах практически отсутствуют.
Относительно
природы межкристаллитных границ в наноматериалах
существуют различные мнения. Так, Г. Глейтер
применительно к объектам, в которых объемная доля поверхностей раздела
достаточно велика, выдвинул идею о газоподобных
границах, т.е. полностью разупорядоченных границах. Многие исследователи,
основываясь главным образом на данных, полученных с помощью ПЭМ высокого
разрешения, полагают, однако, что нет особых различий в структуре
межкристаллитных границ в наноматериалах и обычных
поликристаллических объектах, т.е. встречаются как малоугловые
границы, так и большеугловые границы разных типов.
Например, интенсивная пластическая деформация, особенно в вариант кручения,
приводит к преимущественному появлению большеугловых
границ, т.е. существенно разориентированных и
неравновесных поверхностей раздела.
Действительно,
границы раздела компактированных нанокристаллических
материалов могут содержать три типа дефектов:
§ отдельные вакансии;
§ вакансионные
агломераты или нанопоры, образующиеся в тройных
стыках кристаллитов;
§ большие поры на месте отсутствующих
кристаллитов (рис.11).

Рис.11. Двумерная модель нанокристаллического
материала с микроскопическими свободными объёмами, обнаруживаемыми методом
аннигиляции позитронов: вакансия в границе раздела (время жизни
позитрона t1), вакансионный агломерат (нанопора
с объёмом, равным примерно объёму 10 вакансий)
в тройном стыке
кристаллитов (t2) и
большая пора (t3) на
месте отсутствующего кристаллита.
Эти дефекты являются структурными элементами границ раздела с уменьшенной плотностью.
Пренебрежение наличием свободных объёмов приводит к заметным ошибкам при
определении объёмной доли границ раздела в нанокристаллических
материалах.
§3. Структурные элементы (зерна, слои, включения и поры) в наноматериалах
Основной
элемент структуры консолидированных наноматериалов - зерно или кристаллит (эти понятия далее
используются как синонимы). По существу, это области когерентного рассеяния
рентгеновских лучей или нейтронов. Поэтому на рентгенограммах отдельных
материалов, например, меди, подвергнутой
интенсивной пластической деформации кручением при высоком давлении и равноканальным угловым прессованием наблюдается заметное
уширение пиков. Исключив инструментальные факторы и влияние микроискажений,
измеряя ширину пиков, получают сведения о размере кристаллитов в наноматериалах. Обычно для однофазных систем такой метод
дает информацию о размерах кристаллов вплоть до 2 - 3 нм.
Для
различных кристаллографических направлений размер зерен может быть
неодинаковым, что отражает роль текстуры, т.е. преимущественно ориентированного
расположения зерен. Это особенно часто
наблюдается при интенсивной пластической деформации, а также при получении
пленок.
Кроме
рентгеноструктурного анализа (РСА)
важную информацию о форме и размере зерен дают электронно-микроскопические
исследования (ПЭМ). Высокое
разрешение ПЭМ выявляет типичную
полосчатую структуру (так называемый «муаровый
узор» из атомных плоскостей), характерную для кристаллического состояния,
хотя отдельные участки с размытым изображением и нарушением полосчатости
можно отнести к аморфным областям. Учитывая малый размер зерен в этих пленках
(несколько нанометров) можно полагать, что доля поверхностей раздела, где атомы
находятся в разупорядоченном состоянии (близком к аморфному),
может быть значительной, и наличие аморфных составляющих вполне закономерно.
Зерна размером менее 1 - 2 нм, по всей вероятности,
должны изолированно располагаться в аморфной матрице. В кристаллите размером 1 нм, если параметр решетки, как, например, в случае нитрида
титана, составляет 0,42 нм, помещаются всего восемь
(23) элементарных ячеек, т. е. в данном случае можно говорить о
своеобразных кластерно - консолидированных
материалах.
В
многослойных наноструктурных пленках (их называют
также сверхрешетками и характеризуют шагом L - суммой толщин индивидуальных
слоев) можно наблюдать монокристаллические слои в случае хорошего
(когерентного) сопряжения параметров кристаллических решеток. Это пример так
называемого послойного роста пленок. Морфологические особенности островкового
механизма роста пленок при отсутствии когерентности между пленкой и подложкой
отчетливо прослеживаются при исследовании изломов с помощью сканирующего
электронного микроскопа и поверхности с использованием атомно-силового
микроскопа. Наконец, комбинированный механизм роста пленок
по выявляется при использовании
высокоразрешающего ПЭМ, как это видно на примере полупроводниковых гетероструктур на основе индий - галлиевого арсенида.
Четырехугольные включения - это «квантовые
точки» (атомные островки, в пределах которых природа носителей остается
постоянной), расположенные между слоями арсенида галлия (см. рис.7).
Измерение
размера структурных составляющих наноматериалов осуществляется
электронно - микроскопическими методами с помощью изображений прямого
разрешения и темнопольных изображений с компьютерной
обработкой результатов измерений для массивов, содержащих обычно не менее 1000
- 2000 кристаллитов. При измерении размеров зерен, а также размеров частиц,
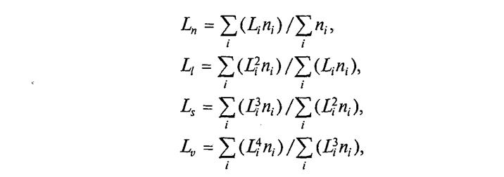
включений и пор принято оценивать следующие параметры: средний диаметр этих объектов по их числу Ln ,
средний линейный диаметр Ll ,
средний диаметр по поверхности (или
диаметр эквивалентной окружности) LS и средний
диаметр по объему (или диаметр эквивалентной сферы) LV :

где n - число зерен
или других объектов i - го
размерного класса. Приведенные соотношения получены для элементов сферической
формы.
В
силу особенностей методики измерений электронно-микроскопический анализ дает
информацию о среднем диаметре частиц по их числу (Ln)
или о среднем диаметре по поверхности (LS),
а РСА дает сведения о диаметре эквивалентной сферы (LV ).

Рис.12. Распределение зерен по размерам.
Между
этими параметрами существуют определенные соотношения, можно убедиться, что Lv > Ls> LI > Ln.
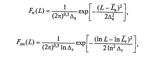
Во
многих случаях распределение зерен по размерам имеет нормальный или
логарифмически - нормальный характер и подчиняется известным соотношениям:

где Fн(L), Fлн(L) — соответственно нормальная и
логарифмически-нормальная функции распределения; Δa, Δr — среднеквадратичная соответственно арифметическая
и геометрическая ошибка (отклонение); La, Lr — среднеквадратичная соответственно
арифметическое и геометрическое значение.
В
отличие от равномерного распределения данных в случае Fн, при логарифмически - нормальном распределении (рис.12) имеет место крутой спад в области значений L < Lr и пологое изменение при L > Lr.
На рис.13 показано распределение кристаллитов по размерам для
образцов палладия, изготовленных по методу Г. Глейтера
прессованием ультрадисперсного порошка. Это данные компьютерной обработки темнопольных изображений, полученных с использованием ПЭМ
(общее число кристаллитов 6150!), а также методом рентгеноструктурного анализа
(Фурье - анализ пиков (111), (222)). Линии 2, 3 показывают логарифмически -
нормальное распределение результатов ПЭМ и РСА. Очевидно, что опытные данные в
основном соответствуют Fлн. Как видно, приведенное выше
соотношение Lv >
Ls >
Ln выполняется и для обоих объектов, и
для обоих методов. Согласие результатов, полученных методами ПЭМ и РСА, в
основном удовлетворительное (результаты отличаются на 10 - 15%); причем
практически всегда LПЭМ < LРСА, но согласованность несколько
ухудшается при переходе к более мелким объектам (L ≤ 10 нм).
Последнее обстоятельство связано с тем, что размер кристаллитов, определяемый
методом РСА, пропорционален L4/L3,
а с помощью ПЭМ — пропорционален L или L3/L2,
т. е. роль ошибок в первом случае значительно выше. Однако следует иметь в
виду, что с помощью ПЭМ информация о L регистрируется с гораздо меньшего участка исследуемого материала,
чем в случае РСА. Таким образом, метод РСА дает более усредненную картину.

Рис.13. Плотность
распределения зерен наноструктурного образца палладия
по размерам: 1 - данные, полученные с помощью ПЭМ; 2 -
логарифмически-нормальное распределение данных, полученных с помощью ПЭМ;
3 – логарифмически -
нормальное распределение результатов рентгеноструктурного анализа.
Реально
наблюдаются различные смешанные варианты, а также случаи бимодального
распределения, когда на графике плотности распределения кристаллитов по
размерам имеется не один, а два максимума. Изучение распределения зерен по
размерам важно для уточнения характера соотношений типа свойство - параметры
структуры. Следует иметь в виду, что хотя количество крупных зерен в структуре
может быть невелико, их объемная доля может быть значительной и это необходимо
учитывать при анализе свойств наноматериалов. Кроме
того, распределение зерен по размерам отражает технологические особенности
получения наноматериалов и во многом определяет их
термическую стабильность. Так, если для ультрадисперсного порошка, полученного,
например, методом испарения - конденсации, наблюдается нормальное распределение
частиц по размерам, то это свидетельствует о росте частиц путем присоединения
одиночных атомов (конденсационный
механизм), а при логарифмически - нормальном распределении превалирует коалесценционный механизм, когда рост частиц осуществляется
за счет их объединения. В то же время наличие широкого распределения зерен по
размерам в наноматериалах - предпосылка для
интенсивного увеличения размера зерен при нагреве, поскольку большие зерна в
структуре являются как бы зародышами для аномального роста за счет поглощения
ими мелких собратьев.
Методы
ПЭМ и РСА - это основные методы изучения структуры наноматериалов.
В отдельных случаях используют спектры комбинационного
рассеяния (рамановская спектроскопия) (например, для
определения диаметра графитовых нанотрубок), мессбауэровская спектроскопия (для измерения, например,
размера кластеров железа по интенсивности
линий спектра), измерение объема сорбированных газов (для определения
эффективных диаметров открытых нанопор и наночастиц), рентгеновская абсорбционная спектроскопия (для
расчета координационных чисел из экспериментальных кривых радиального
распределения атомов), малоугловое рассеяние
рентгеновских лучей и нейтронов (для оценки распределения наночастиц и нанопор по размерам)
и др.
Для
изучения топографии поверхности пленок и изломов рекомендуется применять
сканирующий электронный микроскоп и атомно-силовой микроскоп. Планарные металлопроводящие наноструктуры
изготавливают и исследуют с помощью сканирующего туннельного микроскопа,
который, с одной стороны, за счет приложенного потенциала позволяет вырывать и
переносить атомы из одного места в другое, а, с другой стороны, используя
характеристики туннельного тока, можно идентифицировать атомы разных элементов.
В
целом информация о размерах кристаллитов (слоев, включений и пор) и их
распределении представляется крайне важной. Однако получение этой информации
применительно к наноматериалам часто осложняется
многими факторами и является не простой задачей. Поэтому желательно
использовать, по крайней мере, два независимых метода, при этом необходимо
тщательно анализировать возможные ошибки. Это станет гарантией получения
достоверных результатов.
§4. Дефекты в наноматериалах.
Как и
в случае обычных дефектов в твердых телах, для наноматериалов
различают нульмерные, одномерные, двухмерные и трехмерные
дефекты, соответственно, вакансии и межузельные
атомы, дислокации, поверхности раздела, полости и нанопоры.
В квантовых малоразмерных структурах анализируют соответственно квантовые
точки, ямы, проволоки, стенки и другие дефекты.
Давно известно, что многие малоразмерные объекты (кластеры,
нитевидные кристаллы - «усы» и др.) практически бездефектны, что
подтверждается, например, высокими показателями прочности «усов», сопоставимыми
с теоретическими оценками. Концентрация тепловых (равновесных) вакансий на один атом
для большинства металлов при температуре плавления составляет примерно 10-4,
т. е. один незаполненный узел на 10000 атомов.
Для
меди, энергия образования вакансий которой составляет 110 кДж на один атом,
концентрация вакансий на один атом при комнатной температуре исчезающе мала (~10-20,
т. е. одна вакансия на 1 мм3). Таким образом, для нанообъектов, состоящих из нескольких тысяч атомов, даже
при температуре плавления, не говоря уже о комнатной температуре, равновесные
точечные дефекты практически отсутствуют.
Известно,
однако, что вакансии могут рождаться не только за счет образования межузельных атомов, но и на поверхности тел и на других
дефектах решетки. Можно считать, что «растворение пустоты (вакансии)» в малых
частицах и образование избыточных вакансий будет пропорционально
, где
- размер наночастицы (нанокристаллита).
Однако эта добавка не столь велика. По теоретическим оценкам размер частиц, не
имеющих вакансий для золота при Т = 600 К составляет
примерно 10 нм (и менее).
Специфично
и поведение дислокаций в малоразмерных объектах. С одной стороны, размер
кристаллитов часто оказывается меньше характерного размера, и размножения
дислокаций не происходит. С другой стороны, дислокации в малых зернах и
частицах находятся под действием конфигурационных сил (сил изображения), обусловленных наличием границ раздела и свободных
поверхностей. Силы изображения как бы выдавливают дислокации из объема нанокристалла, чему препятствуют силы трения в
кристаллической решетке.
Поэтому
при небольших размерах кристаллитов вероятность существования в них дислокаций
мала (для краевых дислокаций в меди, алюминии, никеле, железе, нитриде титана
этот параметр составляет 25, 10, 10, 2, 1 нм
соответственно). Дислокации внутри зерен наноматериалов
встречаются не столь часто. Гораздо чаще дислокации обнаруживаются на поверхностях раздела. Это так называемые зернограничные дислокации и дислокации несоответствия. Особенно
велика плотность дислокаций в наноматериалах,
полученных методом интенсивной пластической деформации, но и размер
кристаллитов в последних обычно не ниже 70 - 100 нм.
Плотность
дислокаций в первом приближении может быть оценена
т.е. по уширению рентгеновских пиков, которое отражает не только влияние
размера кристаллитов, но и наличие в структуре микроискажений.
Эти дефекты кристаллического строения, в том числе и дислокации, возникают в
процессе получения материалов в результате смещения атомов из узлов
кристаллической решетки.
С
помощью высокоразрешающих ПЭМ и других методов детально исследуются ситуации на
границах раздела в многофазных наноматериалах.
Здесь важным является обнаружение дислокаций несоответствия, диффузионного
взаимодействия и появления индивидуальных фаз. Наличие примесей в наноматериалах, особенно в случае обычной порошковой
технологии, неизбежно оказывает влияние на природу границ, поскольку возможно
образование пограничных сегрегаций. Но последние
наблюдаются и во многих легированных непорошковых наноматериалах.
Следует
подчеркнуть, что суждения о структуре и составе границ зерен должны опираться
на статистическм представительную информацию, что
применительно к специфике электронномикроскопических
исследований требует изучения большого числа образцов.
Еще
одна особенность структуры наноматериалов состоит в
том, что во многих случаях при денситометрических измерениях фиксируется
наличие свободного объема (рис.14).

Рис.14. Аморфные прослойки на границах раздела в наноматериалах.
Это видно на примере нанокристаллических
образцов никеля и золота, свободный объем (или пористость) которых может быть
равен 1,5 - 7,0 %. Одна из возможных составляющих свободного объема - это несплошности на поверхностях раздела.
Переход
от массивных кристаллов к наночастицам сопровождается
изменением межатомных расстояний и периодов кристаллической решётки. Основной
вопрос состоит в том, уменьшаются или увеличиваются периоды решётки при
уменьшении размера частиц и при каком размере наночастиц
это изменение становится заметным.
Период
решетки наноматериалов часто отличается
от такового для обычных поли - и монокристаллических материалов. Как
показывает анализ экспериментальных данных, практически во всех случаях за
исключением палладия, наблюдается увеличение периода а и уменьшение периода с. Значительно возрастает и статическая составляющая фактора
Дебая - Уоллера, определяемая по интенсивности
рентгеновских пиков и отражающая смещение атомов из положений равновесия, т. е.
дефектность в целом. В общем, по этим данным, объем кристаллической ячейки
увеличивается с уменьшением размера кристаллитов. Следует отметить, что имеются
и противоположные результаты, обнаруживающие уменьшение периода решетки и
соответственно объема элементарной ячейки с понижением размеров кристаллитов
(например, в случае ультрадисперсного порошка нитрида титана). Природа
анизотропии размерного эффекта применительно к периодам а и с, а также общие
закономерности изменений объема ячейки нуждаются в дальнейшем выяснении.
Имеющиеся
по этому вопросу экспериментальные данные достаточно противоречивы. Анализируя изменение периода решётки наночастиц,
следует учитывать возможность перехода от менее плотных ОЦК и гексагональной
структур к более плотной ГЦК структуре при уменьшении размера частиц.
Так, по электронографическим данным, при уменьшении диаметра D частиц Gd, Tb, Dy, Er, Eu, Yb от 8 до 5 нм
сохранялись гексагональная плотноупакованная структура и параметры решётки,
характерные для массивных металлов; при дальнейшем уменьшении размера частиц
наблюдалось заметное уменьшение параметров [2]. Однако одновременно с этим
изменялся вид электронограмм, что свидетельствует о
структурном превращении - переходе от ГПУ к ГЦК структуре, а не об уменьшении
параметров ГПУ решётки. Действительно, в наночастицах
редкоземельных металлов рентгеновским методом обнаружен структурный переход от
ГПУ к ГЦК решётке. Таким образом, для достоверного выявления размерного эффекта
на периоде решётки наночастиц необходимо учитывать
также возможность структурных превращений. Наиболее надежно установить влияние
размера наночастиц на период решётки можно путем
исследования веществ с ГЦК решёткой, для которых вероятность структурного
перехода очень мала.
Таким
образом, экспериментальные данные по размерному эффекту параметра решётки наночастиц неоднозначны. В первую очередь эта неоднозначность может быть связана с
адсорбцией примесей или (в случае соединений, имеющих области гомогенности) с
различным химическим составом частиц; другая
возможная причина неоднозначности результатов - структурные превращения,
вызываемые уменьшением размера частиц; еще одной
причиной могут быть систематические ошибки методик измерения параметра.
Наиболее
надежные эксперименты не обнаруживают уменьшения периода решётки при уменьшении
размера частиц до 10 нм, тогда как для частиц
меньшего размера сокращение межатомных расстояний по сравнению с массивным
веществом достаточно реально. Подтверждением этого являются экспериментальные
данные по межъядерным расстояниям в металлических димерах
(кластерах из двух атомов металла) — для димеров эти
расстояния меньше, чем для соответствующих массивных металлов.
Многие
авторы полагают, что уменьшение параметров решётки наночастиц
является следствием избыточного давления Лапласа, создаваемого поверхностным
натяжением. Однако значения параметров решетки для одного и того же вещества сильно
различаются у разных авторов. Кроме того, в некоторых случаях наблюдалось не
сжатие, а расширение малых частиц. Если бы лапласовское
давление сжимало наночастицы, то сжатие было бы их
универсальным свойством.
Ряд
авторов уменьшение периода решётки металлических частиц объясняют образованием
вакансий типа термических и увеличением их концентрации при уменьшении размера
частиц. Повышенная концентрация вакансий рассматривалась как следствие
всестороннего сжатия под действием давления, создаваемого избытком
поверхностной энергии. Последнее утверждение вызывает сомнение. Действительно,
общеизвестным фактом является рост концентрации вакансий в металлах при
увеличении температуры. Температура и давление входят в формулу свободной
энергии с обратными знаками, поэтому в общем случае повышение давления должно
влиять на концентрацию вакансий так же, как уменьшение температуры, т. е.
должно приводить к уменьшению, а не к росту числа вакансий. В свою очередь,
уменьшение концентрации вакансий, следуя логике, не может приводить к
уменьшению периода решётки.
Наиболее
вероятной причиной уменьшения периода решётки малых частиц по сравнению с
массивным веществом является нескомпенсированность
межатомных связей атомов поверхности в отличие от атомов, расположенных внутри частицы,
и, как следствие этого, сокращение расстояний между атомными плоскостями вблизи
поверхности частицы, т. е. поверхностная релаксация. Действительно, атом в
поверхностном слое имеет меньше соседей, чем в объёме, и все они расположены по
одну сторону от него. Это нарушает равновесие и симметрию в распределении сил и
масс и приводит к изменению равновесных межатомных расстояний, сдвиговым
деформациям, сглаживанию вершин и ребер. Поверхностная релаксация захватывает
несколько поверхностных слоев и вызывает поправки к объёму частицы порядка D (D - размер частицы). Исследования показывают, что в наночастицах поверхностная релаксация максимальна на
поверхности, уменьшается от поверхности к центру частицы и при некоторых
условиях может быть осциллирующей.
Физически
спадающая к центру частицы осциллирующая поверхностная релаксация связана с фриделевскими осцилляциями плотности вырожденного
электронного газа. Осцилляции Фриделя вызываются
любыми дефектами, нарушающими трансляционную симметрию кристалла; в данном
случае таким двумерным дефектом является поверхность. Фриделевские
осцилляции передаются решётке через электрон - фононное взаимодействие и
приводят к изменению межплоскостных расстояний. Необходимо заметить, что в
зависимости от параметров решётки и размера кристалла поверхностная релаксация
может не только уменьшать, но и увеличивать его объём.
Вероятно,
основной причиной изменения межатомных расстояний и параметров решётки в наночастицах диаметром менее 5 нм
является уменьшение числа атомов, составляющих эти частицы. Действительно,
ограничение числа взаимодействующих атомов приводит к отличию радиального
распределения атомов в наночастицах от такового
распределения в массивных кристаллах [2].
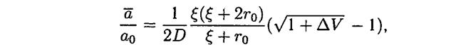
Теоретический
анализ изменения периода кристаллической решётки нановещества
в зависимости от размера наночастиц выполнили авторы
работы [2]. Они предложили рассматривать наноматериал
как двухкомпонентную систему, образованную конечными кристаллитами и
бесконечной матрицей границ зёрен, содержащей сильно разупорядоченное вещество.
Согласно результатам электронно-позитронной аннигиляции, границы зёрен содержат
два типа свободных объёмов, а именно отдельные вакансии и вакансионные
кластеры. Поэтому плотность вещества в границах зёрен заметно меньше плотности
совершенных кристаллитов, не содержащих дефектов. Избыточный объём границ зёрен
определяется как
где V и V0 — молярные объёмы границ зёрен и совершенных
кристаллитов, соответственно. Дефекты, существующие в границах зёрен, создают поле
напряжений. Под действием напряжений атомы нанокристаллитов
отклоняются от их нормального положения в узлах решётки и это
приводит к искажению решётки. Если
— средний параметр решётки
искаженного кристаллита, а а0 — параметр
решётки совершенного кристаллита, то величина
характеризует отклонение параметра решётки
нанокристаллита от его стандартного значения. Согласно работе [2] величина
непосредственно определяется такими
параметрами наноструктуры как избыточный объём границ
зёрен
, средняя ширина границ зёрен x, и
средний размер зёрен D:

здесь
г0 — расстояние между ближайшими соседними
атомами в совершенной решётке.
В
общем случае избыточный объём границ зёрен
является функцией размера зёрен D. Предполагается, что избыточный
объём почти линейно увеличивается с ростом размера зёрен. Исходя
из экспериментальных данных следует, что уменьшение размера зерна в нанокристаллическом веществе должно приводить к увеличению
периода решётки. Отмечается, что расширение кристаллической решётки существует
в основном вблизи границ зёрен, в тонком поверхностном слое. Таким образом,
уменьшение размера зёрен в наноматериале должно
сопровождаться ростом периода решётки. Однако такой вывод следует из
предположения, что избыточный объём границ зёрен увеличивается с ростом размера
зёрен, основанного на экспериментальных данных. Но это предположение совсем не
обязательно. Известно, что уменьшение размера зёрен сопровождается ростом относительного
числа атомов, находящихся в границах зёрен, поэтому можно полагать, что
уменьшение размера зёрен будет приводить к увеличению избыточного объёма границ
зёрен.
Легко
видеть, что и в этом случае уменьшение размера зерна должно приводить к росту
параметра решётки. Однако, параметр решётки может оставаться постоянным или
уменьшаться при уменьшении размера наночастиц. Таким образом, теоретический
анализ не дает однозначного ответа на вопрос, как должен меняться параметр
кристаллической решётки нановещества в зависимости от
размера наночастиц. По-видимому, возможно как
увеличение, так и уменьшение параметра решётки при уменьшении размера наночастиц.
§6. Структура полимерных, биологических и углеродных наноматериалов
Изложенные
ранее сведения касались в основном консолидированных структур и
полупроводников. Рассмотрим некоторые другие наноматериалы.
Для
полимеров характерно многообразие структур со сложной иерархией организации и
подчиненности [1]. Методами РСА и ПЭМ давно были замечены
особенности многих наноструктурных полимерных
материалов. Так, в структуре полимеров, кристаллизующихся из расплавов или
растворов, наблюдаются ламели - гибкие макромолекулы, складывающиеся наподобие
гармоники и разделенные слоями аморфного незакристаллизовавщегося
полимера (рис.15). Толщина ламелей составляет примерно 10 -
20 нм, а длина доходит до нескольких сотен
нанометров. В зависимости от условий кристаллизации могут образовываться пачки
ламельных структур (например, в полиэтилене), игольчатые образования (например,
в полибутене) и т. д.
Дополнительные
возможности возникают в многокомпонентных полимерных системах, когда кристаллы
составляющих компонентов либо расположены соответствующим образом в аморфной
матрице, либо

Рис.15. Схема укладки ламелей, разделенных
аморфными участками
образуют
раздельные сферолитные структуры и т.д. На рис.16 показана эволюция
морфологии структур, возникающих в системе полистирол – полибутадиен при
изменении состава. Аналогичная ситуация имеет место в системе полистирол —
полиметилметакрилат. Это так называемые блок
- сополимеры, макромолекулы которых состоят из чередующихся монополимерных блоков, отличающихся по составу или
строению. Таким образом, надмолекулярная структура многих частично
закристаллизовавшихся полимеров уже сама по себе является нанокристаллической.

Рис. 16. Схема распределения компонентов в пространственной решетке
образцов сополимеров, состоящих из блоков полистирола и полибутадиена, при
содержании полистирола менее 15% (а), 15—35% (6), 35—65% (в),
65—85% (г), более 85 % (д).
Структура
металлополимерных наносистем
может представлять собой полимерную матрицу с металлическими наночастицами, но молекулярная архитектура современных нанокомпозитов может
быть и гораздо более сложной. В табл. 3 показаны различные
типы линейных, разветвленных, сшитых и дендримерных полимерных макромолекул. В случае дендримеров (диаметр 4 - 15 нм),
характеризующихся исходящей из одного центра древовидной ветвящейся структурой,
металлические наночастицы могут располагаться внутри,
где имеются полости - своеобразные «молекулярные контейнеры». Именно таким
образом формируются, например, нанокомпозиты на
основе полиамидамина и наночастиц
меди [1].
Топография
поверхности многих блок - сополимеров характеризуется правильной
периодичностью, что используется для подготовки темплатов (шаблонов), предназначенных
для получения полупроводниковых и металлических нанопроволок.
На рис. 16 показана поверхность диблока полистирол -
полиметилметакрилата, в желобы которой напылены частицы золота размером около 3 нм. Температурная обработка частиц приводит к их спеканию
образованием более или менее протяженных нанопроволок.
Основные типы макромолекулярной архитектуры

К
описанным выше полимерным нанокомпозитам тесно
примыкают супрамолекулярные структуры, в которых
основную роль играют уже не молекулы, а их ансамбли, связанные посредством Ван
– дер - ваальсовых и электростатических сил, а также водородных связей. На рис. 17 показаны некоторые типы супрамолекулярных
структур с различной архитектурой.

Рис. 17. Типы супрамолекулярных структур.
В супрамолекулярных материалах металлические ионы связываются
и направляются за счет органических лигандов. Оба
компонента сообщают структурам разнообразные фотохимические, электрохимические
и другие свойства. Самосборкой могут получаться
трехмерные структуры типа рамок, решеток, лестниц. Например, шесть линейных
молекул, каждая из которых содержит две пиридиновьие
и две пиридазиновые группы, удерживаются девятью
ионами серебра; такая спонтанно образовавшаяся решетка показана на рис.18.
Естественно, что варианты структур гибридных наноматериалов, т. е. композитов, состоящих из пары (или
более) неорганических, органических и биологических (белки,
дезоксирибонуклеиновая кислота (ДНК) и др.) компонентов, весьма разнообразны. Дезоксирибонуклеиновая кислота в
этом

Рис.18. Схема самосборки решетки из
шести линейных молекул и девяти ионов серебра.
плане представляет особый интерес. Как известно, молекула ДНК - это длинная двухцепочечная спираль, состоящая из антипараллельных
нитей, связанных водородными связями. В составе ДНК четыре строительных блока: аденин, цитозин, гуанин и тимин.
Комплементарное спаривание аденина с тимином и гуанина с цитозином
разных цепей осуществляется посредством водородных связей. Таким образом,
последовательность мономерных нуклеотидов одной цепи
комплементарна последовательности нуклеотидов другой цепи. Свободные концы ДНК
в генной инженерии называются «липки- ми концами» (sticky ends), они обеспечивают возможность
дальнейшего наращивания разветвленных структур путем самосборки.
Причем последняя может быть запрограммирована (имеется
в виду комплементарность, т.е. соответствие и взаимодополняемость).
Тубулярные и луковичные структуры.
В
настоящее время известны не только углеродные нанотрубки
и нанолуковицы, но и аналогичные структуры для других
соединений (BN, МоS2 и др.) и нескольких металлов.
На рис.19 показаны схемы трубок, образующихся в результате
свертывания полос атомных сеток графита (графенов) в бесшовные цилиндры.
Важная структурная характеристика нанотрубок - хиральность,
определяемая взаимной ориентацией гексагональной графитовой сетки по отношению
к продольной оси нанотрубки. Для однослойных трубок
различают три возможных варианта свертывания:
- гофр (или кресло) - две стороны каждого шестиугольника
ориентированы перпендикулярно оси трубки;
- зиг - заг - две стороны каждого шестиугольника ориентированы
параллельно оси трубки;
- хиральный
(спиралевидный) - каждая пара сторон шестиугольников ориентирована к оси
трубки под углом, отличным от 0 и 900.

Рис.19. Схемы свертывания однослойной нанотрубки типа гофр (А), зиг - заг (Z) и хиральной трубки (Н).
Трубки
могут быть и многослойными, т. е. могут состоять из нескольких коаксиальных
цилиндров (рис. 20). Внутренний диаметр трубок изменяется от
нескольких долей нанометра до нескольких нанометров. Расстояние между соседними
слоями угле- рода в графене
равно 0,34 нм, а расстояние между атомами угле- рода
— 0,142 нм; теоретически минимальный диаметр
углеродной нанотрубки должен составлять около 0,7 нм. длина нанотрубок может
достигать нескольких микрометров и более.

Рис. 20. Строение многослойных трубок: а - «русская матрешка» б
- рулон (слиток); в – папье – маше.
Концы
трубок после синтеза закрыты полусферическими или коническими шапочками, в
структуре которых кроме шестиугольных конфигураций содержатся также и
пятиугольные. Многослойные образования могут также иметь округлую форму (онионы), в
сечении напоминающую луковицу (рис. 21).

Рис.21. Электронная микрофотография фуллереновой луковицы, в центре нанокристаллит
алмаза.
Внутренние
полости нанотрубок и их сростков могут быть заполнены
различными веществами, что значительно расширяет возможности реализации
различных свойств в системах типа «гость - хозяин».
2. Гусев
А.И. Наноматериалы, наноструктуры,
нанотехнологии. – М.:ФИЗМАТЛИТ, 2005. – 416 С.
3. Старостин
В.В. Материалы и методы нанотехнологии – М.:ВНИИОЛМ,
Лаборатория знаний, 2008 - 431 С.
4. Ч.Пул –мл., Ф. Оуэнс Нанотехнологии М.: Техносфера 2006. – 336 С.