МИНИСТЕРСТВО
ОБРАЗОВАНИЯ И НАУКИ РОССИЙСКОЙ ФЕДЕРАЦИИ
Федеральное
государственное бюджетное образовательное учреждение высшего профессионального
образования
«Дагестанский
государственный университет»
Факультет математики
и компьютерных наук
Кафедра математического анализа
Курс лекций
по дисциплине
МАТЕМАТИЧЕСКИЙ АНАЛИЗ
(I семестр)
Направление
(специальность) 09.03.02 - Информационные системы и технологии
Степень
выпускника: академический бакалавр
Форма
обучения: очная
Автор-составитель
Магомедова Вазипат Гусеновна
Тема 2. Функция одной
переменной. Основные понятия
1. Предел функции в конечной точке
3. Предел функции на бесконечности
4. Бесконечно малые и бесконечно большие функции
5. Основные теоремы о конечных пределах
6. Первый
замечательный предел
7. Второй
замечательный предел
1. Непрерывность функции в точке и на промежутке
2. Точки разрыва функции и их классификация
Тема 5.
Дифференцирование функции одной переменной
1. Определение
производной, ее геометрический смысл
2. Производные некоторых элементарных функций
3. Таблица
производных основных элементарных функций
6. Производные
обратных тригонометрических функций
8. Производные и
дифференциалы высших порядков
Тема 6. Свойства
функций, непрерывных на отрезке
Тема 7. Исследование
поведения функции
4. Выпукулость и точки перегиба
функции
5. Наибольшее и наименьшее значения функции
6. Схема исследования
функции. Построение графика функции
Тема 8.
Неопределенный интеграл
1. Первообразная функции и ее
свойства
2. Понятие
неопределенного интеграла
3. Свойства
неопределенного интеграла
4. Таблица основных
неопределенных интегралов
1. Непосредственное
интегрирование
2. Интегрирование
подстановкой
4. Интегрирование
рациональных дробей
5. Интегрирование
тригонометрических выражений
6. Интегрирование
некоторых видов иррациональностей
Множеством
натуральных чисел называются числа, используемые при счете и обозначается
. Множество всех натуральных чисел, ноль и числа,
противоположные натуральным, образуют множество целых чисел:
.
Рациональным
числом называют число, представимое в виде отношения некоторого целого
числа к некоторому натуральному числу. Множество всех рациональных чисел
обозначается через
. Следовательно,
Хотя
рациональных чисел бесконечно много, их не хватает для измерения длин,
площадей, объемов и т.д.
Измерить
длину отрезка означает сравнить его с другим отрезком. Оказывается, если взять
два произвольных отрезка с длинами
и
, то не всегда с помощью одного можно найти длину другого,
если ограничиться только множеством рациональных чисел. Таковыми являются,
например, сторона и диагональ квадрата. Если взять в качестве масштабной
единицы какой-нибудь отрезок, сторону и диагональ нельзя выразить с помощью
рациональных чисел. Следовательно, для измерения величин (длины, площади т.д.)
нужно расширить множество рациональных чисел.
Заметим,
что любое рациональное число можно представить в виде некоторой бесконечной
периодической десятичной дроби. Для этого достаточно числитель разделить на
знаменатель в столбик.
Аналогично
каждую бесконечную десятичную дробь можно обратить в обыкновенную дробь.
Поэтому рациональное число можно определить следующим образом: рациональным
числом называется бесконечная периодическая десятичная дробь, взятая со
знаком «+» или «-».
Легко
привести примеры десятичных дробей, которые не являются периодическими. Таковой
является, например, дробь 0,1010010001… Число 1 не является периодом, так как как угодно далеко в записи этой
дроби встречаются нули. Аналогично ноль не является периодом. Следовательно,
существуют непериодические десятичные дроби, они называются иррациональными
числами. Множество иррациональных чисел обозначается
Оказывается,
если объединить все периодические и непериодические десятичные дроби, то задача
измерения величин полностью решается.
Множество
всех рациональных и иррациональных чисел образует множество действительных чисел.
Обозначается
.
Пусть даны два
множества
и
. Если каждому элементу
по некоторому закону
или правилу соответствует определенный элемент
, то это соответствие называется однозначной функцией
или отображением множества
в
множество
. Множество
называется областью
определения или существования этой функции. Функция обозначается
,
или
. Переменная
называется независимой
переменной или аргументом функции, а переменная
называется зависимой переменной
или функцией.
Если элемент
соответствует элементу
при отображении
, то
называется образом
, а
– прообразом
.
Множество всех
образов при отображении
называется множеством
значений этой функции или областью изменения функции.
1) Аналитический способ - указывается
формула, которая служит законом соответствия и связывает зависимую и
независимую переменные:
. Например,
.
2) Табличный способ
задания функции – например, таблицы Брадиса
задают функции y = sin x, y = cos x и др.
3) Графический способ задания функции, когда зависимость функции от её
аргумента задаётся графически.
Определение 1. Пусть
функция y = f(U) определена на множестве D(f), а функция U = g(x) определена на D(g), причём E(g)
D(f).
Тогда функция y = F(x) = f(g(x)) называется сложной
функцией (или функцией от функции, или суперпозицией
функций f и
g ).
Определение 2. Пусть задана
функция y = f(x) взаимно однозначно
отображающая множество X = D(f) на множество Y = E(f).
Тогда функция x = g(y) называется обратной
к функции y =
f(x), т. е.
любому y
E(f) соответствует
единственное значение x
D(f), при
котором верно равенство y =
f(x).
Замечание.
Графики функций y = f(x) и x = g(y) представляют
одну и ту же кривую. Если же у обратной функции независимую переменную
обозначить x, а зависимую y, то графики функций y = f(x) и y = g(x) будут
симметричны относительно биссектрисы первого и третьего координатных углов.
Основные элементарные функции:
y =
const (постоянная
функция), D(y) = R; E(y) = c.
(линейная функция), D(y) = R; E(y) = R.
y =
(степенная функция), α ÎR, E(y), D(y) зависят от
α.
y =
(показательная функция), a >
y =
(логарифмическая функция) ), a >
Тригонометрические функции:
y =
sin x, D(y) = R, E(y) =
.
y = cos x, D(y)
= R, E(y) =
.
y = tg x, D(y)
=
, E(y) = R.
y = ctg x, D(y)
=
, E(y) = R.
Обратные тригонометрические функции:
y =
arcsin x, D(y) =
, E(y) =
.
y = arccos x, D(y)
=
, E(y) =
.
y = arctg x, D(y)
= R, E(y) =
.
y = arcctg x, D(y)
= R, E(y) =
.
Элементарной функцией называется функция, составленная из основных элементарных функций с
помощью конечного числа операций сложения, вычитания, умножения, деления и
суперпозиции.
Например:
– элементарная функция.
Графики обратных тригонометрических функций:
|
y = arcsin x
|
y = arccos
x
|
|
y = arctg x
|
y = arcctg x
|
Определение 1. Окрестностью
точки x0 называется любой интервал, содержащий
точку x0:

.
Определение 2. d-Окрестностью
точки x0 называется интервал
(
;
), длина которого 2d, симметричный относительно x0:

![]()
Определение 3. Проколотой d-окрестностью точки x0 называется d-окрестность точки x0 без самой точки x0:

![]()
Определение 4. Число А называется пределом функции f(x)
при x ® x0, если для любого малого числа ε > 0
существует такое малое число
, что для любого x, принадлежащего
D(f) и проколотой
δ-окрестности точки x0, т.е.
, выполняется неравенство:
.
Итак:
и
.
Определение 5. Число А называется правым (левым) пределом функции
y = f(x) в точке x0, если для любого малого числа ε > 0 найдётся
другое малое число
– такое, что для всех
и лежащих в правой
(левой) окрестности точки x0, т.е.
, справедливо неравенство:
.
При этом используют следующие обозначения:
– для правого предела.
– для левого предела.
Замечание 1.
Если f(x) имеет в точке x0, предел равный А, то существуют
и
и
справедливо равенство:
.
Замечание 2. Если f(x)
имеет в точке x0 правый
и левый
пределы, равные между
собой, то в точке
функция f(x) имеет предел, равный числу:
.
Замечание 3. Если f(x)
имеет в точке x0 правый
и левый
пределы, но они не
равны между собой, то в точке x0 функция f(x) не имеет
предела.
Определение 6. Окрестностью бесконечно удалённой точки называют множество значений x, удовлетворяющих неравенству
, где N достаточно
большое положительное число.
Определение 7. Число А называется пределом функции f(x) при
, если для любого малого числа ε > 0 существует
другое большое число
– такое, что для
любого
удовлетворяющего
неравенству
выполняется неравенство
. Этот факт записывают:
.
Определение 8. Функция a(x) называется бесконечно
малой при x ® x0 или в точке
, если предел a(x) при
x®
равен нулю:
.
Определение 9. Функция f(x) называется бесконечно большой в точке
, если предел f(x)
при x ® x0 равен ∞. Это значит, что для
любого сколь угодно большого числа M > 0 существует малое число δ = δ(M) > 0 такое, что для любого
удовлетворяющего
неравенству
, выполняется неравенство |f(x)| > M.
Определение 10. Функция f(x) называется ограниченной на некотором множестве X Ì D(f), если существует такое число M > 0, что для любого x Î X
выполняется неравенство |f(x)| < M.
Основные свойства бесконечно малых функций
1) Алгебраическая сумма конечного числа бесконечно малых функций в
точке
есть бесконечно
малая функция в этой точке
, т.е. если
– бесконечно малые
функции в точке
, то
– бесконечно малая
функция в этой точке
.
2) Произведение конечного числа бесконечно малых функций в точке
есть бесконечно малая функция в точке
, т.е. если
– бесконечно малые
функции в точке
, то
– бесконечно малая
функция в этой точке
.
3) Произведение бесконечно малой
функции в точке
на ограниченную
функцию в некоторой окрестности точки
есть бесконечно
малая функция в точке
, т. е.
если α(x) бесконечно малая функция в точке
и f(x) ограниченная в
некоторой окрестности точки
, то α(x)×f(x) –
бесконечно малая функция в точке
.
Следствие из свойства 3). Произведение постоянной c на бесконечно малую функцию α(x) в точке
есть бесконечно малая функция в точке
, т.е. если
α(x) – бесконечно малая
функция в точке
, то с×α(x) – бесконечно малая функция в точке x0.
Теорема (о связи между бесконечно
малой функцией в точке x0 и бесконечно большой функцией в
точке x0)
Если функция f(x) является бесконечно большой в точке
, то функция
является бесконечно
малой в точке
. (Верно и
обратное утверждение)
Теорема 1. Функция f(x) имеет конечный предел в точке
тогда и только тогда, когда выполняется равенство: f(x) = А+a(x), где a(x) – бесконечно малая функция в точке
.
Доказательство этой теоремы вытекает
из определения предела функции в точке и определения бесконечно малой функции в
точке.
Теорема 2. Если
существуют конечные пределы двух функций f(x) и g(x) в точке
, то
существует конечный предел суммы этих функций в точке
, равный сумме пределов этих функций.
Доказательство:
Пусть
, тогда по теореме 1 f(x) = А+a(x), где a(x) –
бесконечно малая функция в точке x0. Пусть
, тогда по теореме 1g(x) = B +
β(x), где β(x) – бесконечно малая функция в точке x0. Рассмотрим сумму этих функций:
f(x) + g(x) = A + a(x) + B + β(x) = (A+B) + a(x) + β(x).
Обозначим γ(x) = a(x) + β(x) – бесконечно малая функция в точке x0 (по свойству 1 бесконечно малых
функций). Получим f(x) + g(x)=A + B + γ(x).
По теореме 1:
.
Теорема доказана.
Теорема 3. Если
существуют конечные пределы двух функций f(x) и g(x) в точке
, то
существует предел произведения этих
функций в точке
, равный
произведению пределов этих функций.
Доказательство: Пусть
, тогда по теореме 1: f(x) = А+a(x), где a(x) – бесконечно малая функция в точке
. Пусть
, тогда по теореме 1: g(x) = B + β(x), где β(x) –
бесконечно малая функция в точке
. Рассмотрим
произведение этих функций:
f(x) × g(x) = (А +a(x))(B + β(x)) = A×B + B×a(x) + A×β(x) + a(x) ×β(x).
Обозначим: B×a(x) + A×β(x) + a(x) ×β(x) = γ(x), где γ(x) –
бесконечно малая функция в точке
(по свойствам бесконечно малых функций).
Получим: f(x)×g(x) = A×B + γ(x).
По теореме 1:
.
Теорема доказана.
Теорема 4. Если существуют конечные пределы f(x) и g(x), причём
, то существует предел частного этих функций
в точке
, равный
частному пределов этих функций, т. е.: если существует
и существует
, B ≠ 0, то
существует
(доказать
самостоятельно).
Теорема 5 (о пределе трёх функций). Если существуют равные конечные
пределы функций f(x) и g(x) в точке
:
и при стремлении x к x0 выполняется неравенство:
φ(x)
, то существует
φ(x), равный А.
Теорема 6. Предел
функции
в точке
существует и
равен 1, т.е.
.
Доказательство:

1)
Пусть угол x > 0 (x
). Площади
соотносятся:
. Имеем
;
;
, где угол х
в радианах.
Подставим
в соотношение (1) полученные значения площадей:
,
,
.
Так как все части двойного неравенства
положительные, выражение можно переписать так:
. Так как
то по теореме 5:
.
2) Пусть x < 0 (x
). Тогда
(по доказанному в первом случае).
Следовательно,
.
Теорема доказана.
Теорема 7. Предел
функции
при x
существует и равен числу e, т.е.
.
Замечание. Число e является пределом последовательности
, причем это число иррациональное, т.е. представляется
бесконечной непериодической десятичной
дробью: e = 2,7182818284590… . Более того,
число e трансцендентное, т.е. не является
корнем алгебраического уравнения с целыми коэффициентами. В математическом анализе
это число играет особую роль, в частности, является основанием натурального
логарифма. Показательная функция с основанием e:
, называется экспонентой.
Модификация второго замечательного
предела
т.е.
.
Определение 1. Функция f(x) называется непрерывной в точке x0ÎD(f), если она определена в некоторой
окрестности точки x0 и предел f(x) в точке x0
равен
значению функции в этой точке, т.е.
.
Замечание. Из определения 1 следует правило вычисления предела
функции в точке её непрерывности: ![]()
т.е. предел функции в точке её
непрерывности равен значению функции в этой точке.
Определение 2. Функция f(x) называется
непрерывной в точке x0ÎD(f), если она
определена в некоторой окрестности этой точки и бесконечно малому приращению
аргумента
соответствует
бесконечно малое приращение функции
, т.е.
.
Определение 3. Функция f(x) называется непрерывной в точке x0ÎD(f), если она
определена в некоторой окрестности этой точки и существует правый и левый
предел f(x) в точке
, причём они равны
между собой и равны значению функции
в этой точке, т.е.
а)
;
б)
;
в)
.
Определение 4. Функция f(x) называется
непрерывной на промежутке, если она непрерывна в каждой точке этого промежутка.
Теоремы о непрерывных
функциях
Теорема 8. Если функции f(x) и g(x) непрерывны в точке x0 , то функции с×f(x) (c=const),
f(x) ± g(x),
f(x)×g(x) и
(если g(x) ¹ 0) также непрерывны в точке x0.
Теорема 9. Если функция u = u(x) непрерывна в точке x0 и функция y = f(u) непрерывна
в точке u0 = u(x0), то сложная функция y = f(u(x)) непрерывна в точке x0.
Теорема 10. Все элементарные функции непрерывны
в каждой точке области их определения.
Определение 5. Точка x0 называется точкой разрыва функции f(x), если в
этой точке функция либо не определена, либо определена, но нарушено хотя бы
одно из условий определения 3 непрерывности f(x).
Определение 6. Точка x0 называется точкой устранимого разрыва функции f(x), если предел функции в этой точке существует, но f(x) в точке x0 либо не определена, либо имеет
значение f(x0), не совпадающее с найденным
пределом: f(x0 – 0) = f(x0 + 0) ¹ f(x0).
Определение 7.
Точка x0 называется точкой разрыва первого рода функции f(x) (разрыв типа «скачка»), если в этой точке функция
имеет конечные, но не равные между собой правый и левый пределы, т.е. f(x0 – 0) ¹ f(x0 + 0).
Определение 8.
Точка x0 называется точкой разрыва второго рода функции f(x), если в этой точке функция не имеет хотя бы одного
из односторонних пределов или хотя бы один из односторонних пределов
бесконечен.
Примеры.
Исследовать функции на непрерывность и точки разрыва.
1. 
Решение. На
промежутке (–∞; –1)
, на промежутке (–1;1)
и на промежутке (1;+∞)
.
На этих промежутках элементарная
функция f(x) непрерывна
при всех x, принадлежащих этим промежуткам.
Необходимо проверить непрерывность в точках x = –1 и x = 1.
1)
![]()
2) ![]()
Получили, что f(–1–0) ¹ f(–1+0) => x = –1 – точка разрыва функции f(x) I рода.
3) ![]()
4) ![]()
Получили, что f(1 – 0) = f(1 + 0) = f(1) = 0 => x = 1 – точка непрерывности функции f(x).
Ответ: f(x) непрерывна на промежутках (–∞;–1)
и на (–1;+∞), точка x =
–1 – точка разрыва функции f(x) I рода.
2. f(x) = ![]()
Решение. На
промежутках (–∞;0) и на (0;+∞) функция f(x) непрерывна. Исследуем точку x = 0 Ï D(f).
1)
![]()
2)
x = 0 – точка разрыва функции f(x) II рода.
Пусть дана функция
, определённая на множестве D(f). Рассмотрим точку xÎD(f) и некоторое число Dx – такое,
чтобы точка x+DxÎD(f). Это число Dx называется приращением аргумента x.
Определение 1.
Приращением функции
называется
разность f(x+Dx) – f(x). Приращение функции
обозначают Dy, т.е. Dy = f(x+Dx) – f(x).
Определение 2. Производной
функции
называется предел
отношения приращения функции Dy к приращению аргумента Dx, если приращение аргумента Dx стремится к нулю и этот предел
существует. Производную функции
обозначают:
или
. Поэтому можно записать: ![]()
Пример. Исходя из определения найти производную функции у =
.
Решение. Dy= f(x+ Dx) – f(x) =
.
.
Ответ:
.![]()
Механический смысл производной
Пусть материальная точка движется по прямой по закону S =
S(t),

тогда DS = S(t+Dt) – S(t) –
расстояние, пройденное за время Dt и средняя
скорость движения:
.
Чтобы найти скорость движения в
момент времени t, надо рассмотреть предел
при Dt ® 0: V(t) =
.
Следовательно, производная от пути S(t) равна мгновенной скорости точки в
момент времени t :
.
Геометрический смысл производной
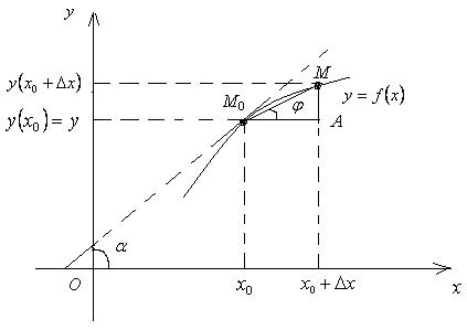
Рассмотрим график функции y = f(x) в окрестности фиксированной точки М0 (рис. 5).
Точка M0(x0;y(x0)) – фиксированная точка графика
. Точка M(x0+Dx; y(x0+Dx)) при
различных значениях Dx – любая точка на графике. Если точка M приближается к точке M0 (при этом Dx ® 0), то секущая
линия M0M стремится к
своему предельному положению, называемому касательной
к линии y = f(x) в точке M0.

Рис. 5
Рассмотрим
треугольник M0MA: tg j =
, j –
угол наклона секущей M0 M к оси Ox.
Перейдем к пределу при Dx ®0:
j =
, где
– угол наклона касательной к оси Ox.
Таким образом, y' (x0) = tg
частное значение производной функции
в точке x0 равно угловому коэффициенту касательной, проведённой
к линии y =
f(x) в точке M0(x0; y(x0)). Тогда, используя уравнение прямой, проходящей
через заданную точку M0(x0;y0) с известным угловым коэффициентом Kкас = y'(x0), можно записать уравнение касательной к линии y =
f(x) в точке M0(x0; f(x0)): y = f(x0) + f ' (x0) × (x – x0).
Аналогично, можно записать уравнение нормали – прямой, перпендикулярной
касательной и проходящей через точку касания M0(x0;f(x0)): y =
f(x0) –
,
используя условие перпендикулярности прямых:
1)
Вывод:
; ![]()


2)
. Вывод:
;


3)
. Вывод:
; 


(используется второй замечательный предел и свойства
логарифма).
4)
. Вывод: так как ln x = log e x, то,
используя производную, для (log a x), можно записать:
.
5) (c)' = 0. Вывод: y = c, Dy = y(x+Dx) – y(x) = c – c = 0
.
Для остальных функций производные выводятся позже с помощью
правил дифференцирования.
1.
(c)' = 0
2.
(xa)' = a×xa –
1
3.
(ax)'
= ax×ln a, (a >
4.
(ex)' = ex
5.
(loga x)' =
, (a > 0; a ≠ 1)
6.
(ln x)' = ![]()
7.
(sin x)' =cos x
8.
(cos x)' = – sin x
9.
(tg x)' = ![]()
10.
(ctg x)' = – ![]()
11.
(arcsin x)' = ![]()
12.
(arccos x)' = –![]()
13.
(arctg x)' = 
14.
(arcctg x)' = ![]()
Определение 3. Функция y = f(x) называется
дифференцируемой в точке xÎD(f), если она определена в некоторой
окрестности точки x и её приращение в этой точке можно представить в виде:
Dx = A×Dx +
(Dx)×Dx,
где A = A(x) – не
зависит от Dx;
(Dx) – бесконечно малая величина при Dx®0, т.е. ![]()
Теорема 1 (связь дифференцируемости с
существованием производной)
Функция y = f(x) дифференцируема в точке xÎD(f) тогда и только тогда, когда она
имеет в этой точке производную f '(x). При этом f '(x) = A.
Доказательство.
1) Необходимость: Дано: y =
f(x) дифференцируема в точке х.
Доказать: A = f '(x). Так как функция y = f(x)
дифференцируема в точке х,
то по определению Dy = A × Dx +
(Dx) × Dx, где
(Dx) ® 0 при Dx ® 0.
Разделим это равенство на Dx ≠ 0: ![]()
. Перейдём к пределу при Dx ® 0:
существует, а значит f '(x) = A.
Необходимость доказана.
2) Достаточность:
Дано: f ' (x) –
существует. Доказать: f(x) дифференцируема.
Так как существует f '(x)=
, то по свойству предела можно записать:
, где
(Dx) ® 0 при D x® 0. Умножим это равенство на Dx:
Þ функция y = f(x), дифференцируема
в точке х.
Достаточность доказана.
Теорема 2 (связь дифференцируемости с
непрерывностью функции)
Если функция y = f(x) дифференцируема в точке xÎD(f), то она непрерывна в этой точке.
Доказательство. Так как функция дифференцируема в точке x, то её приращение в этой точке можно представить в
виде: Dy = A × Dx +
(Dx) × Dx, где A =
f '(x) и
(Dx) ® 0 при Dx ® 0.
Найдём предел от Dy при Dx ® 0:

Отсюда следует, что по определению 2
непрерывности функции в точке функция y = f(x) непрерывна
в точке x.
Замечание.
Обратное теореме 2 утверждение не всегда верно.
Теорема 3. Если функции
U(x) и V(x) дифференцируемы в точке x, то функция U(x) ± V(x) дифференцируема в точке x и её
производная вычисляется по формуле:
(U(x)
± V(x))'
= (U(x))'
± (V(x))'.
Доказательство: Рассмотрим функцию y = U(x) ± V(x).
Тогда Dy = DU ± DV. Разделим на Dx и перейдём к пределу при Dx ® 0:
так как по условию
теоремы функции U(x) и V(x) дифференцируемы.
Значит, (U(x) ± V(x))' = U '(x) ± V '(x).
Теорема доказана.
Теорема 4. Если функции U(x) и V(x) дифференцируемы в точке х, то функция (U(x)×V(x)) дифференцируема в точке х и её
производная вычисляется по формуле: (U(x) × V(x))' = (U(x))'× V(x) + U(x) × (V(x))'.
Доказательство.
Рассмотрим функцию
. Найдём её приращение
Dy =
(U+DU)(V+DV)
– U×V = U×V + U×DV + V×DU + DU×DV – U×V=
= U×DV + V×DU + DU×DV.
Разделим Dy на Dx и перейдем
к пределу при Dx ® 0:

![]()
так как по условию функции U(x) и V(x) дифференцируемы, а значит
,
и
.
Следовательно, (U(x)× V(x))' = U ' (x) × V(x) + U(x) × V ' (x).
Теорема доказана.
Следствия:
а) Если U(x), V(x) и W(x) дифференцируемы
в точке х,
то функция (U(x)×V(x) ×W(x))
дифференцируема в точке х
и её производная вычисляется по формуле:
(U×V×W)' = U '×V×W + U×V '×W + U×V×W '.
б)
Производная постоянной, умноженной
на дифференцируемую функцию, равна этой постоянной, умноженной на производную
функции: (C×U(x))' = C×U ' (x).
Теорема 5. Если функции U(x) и V(x) дифференцируемы в точке х и V(x) ≠ 0,
то функция
дифференцируема в
точке х и
её производная вычисляется по формуле:
.
Доказательство.
Рассмотрим функцию
. Найдём её приращение

Разделим Dy на Dx и перейдём к пределу при Dx ® 0:
,

Значит,
.
Теорема доказана.
Теорема 6 (производная сложной
функции). Если
функция f(u)
дифференцируема в точке u, а функция u(x) дифференцируема в точке x, причём u =
u(x), тогда
сложная функция f(u(x)) дифференцируема в точке x и её производная вычисляется по
формуле: (f (u(x)))' = f '(u) ×u' (x).
Доказательство.
Рассмотрим функцию y =
f(u). Так как
функция f(u)
дифференцируема в точке u, то её приращение можно записать в
виде:
, где
.
Разделим на Dx и перейдём
к пределу при Dx ® 0: ![]()
Если D x® 0, то D u® 0, так как u(x) дифференцируема, а значит непрерывна, т.е. (f(u(x)))'
= f
' (u) ×u' (x).
Теорема доказана.
Теорема 9. Если функции U(x) и V(x) дифференцируемы в точке x, то
показательно-степенная функция y = (U(x))V(x)
дифференцируема в точке x и справедлива формула:
.
Доказательство можно выполнить с
помощью логарифмирования равенства y = (U(x))V(x)
по основанию логарифма e и дальнейшего дифференцирования обеих
частей полученного равенства.
Теорема 10. Функция y = arcsin x дифференцируема при любом xÎ(–1;1) и справедлива формула: 
Доказательство:
Функция y =
arcsin x определена
при x Î[–1;1] и область ее значений
. Она монотонно возрастает на всей области её определения,
поэтому имеет обратную функцию x =
sin y. Уравнение x = sin y можно рассматривать как неявное задание функции y = arcsin x. Найдём производную от обеих частей уравнения:
.
Выразим из полученного равенства y':
.
Но
при
.
Поэтому
, так как
.
Следовательно, получаем:
.
Аналогично,
функция y =
arсcos x дифференцируема при x Î(–1;1) и справедлива формула:
.
Функция
y =
arctg x
дифференцируема при x Î(–¥;+¥) и справедлива формула:
.
Функция
y =
arcсtg x дифференцируема при x Î(–¥;+¥) и справедлива формула:
.
Пусть функция y = f(x) дифференцируема в точке x, тогда её
приращение можно записать в виде двух слагаемых, первое из которых линейно
относительно Dx, а второе
слагаемое – бесконечно малая величина при
Dx ® 0 (более высокого порядка малости по
сравнению с Dx):
,
где
(Dx) ® 0 при Dx ® 0.
Определение 4. Слагаемое
называется главной линейной относительно Dx частью приращения функции y =
f(x),
называемой дифференциалом этой
функции. Дифференциал обозначается
dy =
y' (x)× Dx .
Если x –
независимая переменная, то справедливо равенство Dx = dx, так как (x)' = 1. Тогда формула для дифференциала записывается:
dy =
y' (x)× dx .
Так как второе слагаемое приращения
функция – малая величина более высокого порядка малости по сравнению с Dx, то между приращением функции и её дифференциалом можно приближённо поставить знак
равенства. Это равенство тем точнее, чем меньше Dx. На основе этого приближённого равенства получается
приближённое представление значения дифференцируемой функции:

Геометрический смысл дифференциала
Рассмотрим график дифференцируемой функции y = f(x) в некоторой окрестности точки x0 (рис. 6):

Рис. 6
Из DM0AN
AN = M0A×tg a =
Dx×f '(x0) = dy.
Итак: дифференциал функции y =
f(x) в точке x0 равен
приращению ординаты касательной (AN), проведённой к кривой y = f(x) в точке (x0; f(x0)), при переходе от x0 к x0+Dx (от точки М0 в точку М).
Инвариантность формы дифференциала
Теорема 14. Пусть функция
y =
f(u)
дифференцируема в точке u, а функция u = u(x)
дифференцируема в соответствующей точке x (u =
u(x)). Тогда для
сложной функции y =
f(u(x)) справедливо равенство:
dy =
f '(u)du = y'(x)dx.
Доказательство.
Сложная функция y=f(u(x)) является дифференцируемой в точке x. Поэтому справедливо равенство:
dy = y'(x)dx .
Но так как функция y(x) = f(u(x)) сложная,
то
y' (x) = f ' (u) × u' (x).
Поэтому dy = y'(x)dx =
f '(u)×u'(x)dx = f '(u)×du, так как по условию теоремы функция u = u(x)
дифференцируема в точке x, следовательно,
du = u' (x)×dx.
Теорема доказана.
Если функция y = f(x) дифференцируема на некотором промежутке, то она
имеет на этом
промежутке производную y' = f ' (x), которая
в свою очередь может иметь
производную: (y')' = (f '(x))' = y'', называемую второй производной функции y = f(x). Она обозначается:

Может случиться, что новая функция y''(x) имеет производную, тогда она
называется третьей производной
функции y = f(x) и
обозначается:
Производная “n”-го порядка
функции y =
f(x)
обозначается:

Дифференциалом второго порядка функции y = f(x) в точке x называется
выражение, обозначаемое d2y и вычисляемое по формуле:
,
если x – независимая переменная.
Дифференциал третьего порядка функции y = f(x):
,
если x – независимая переменная, и т.д.
Замечание. Дифференциал уже второго порядка не
обладает свойством инвариантности формы.
Теорема 1. Если функция f(x) непрерывна на отрезке [a;b], то она достигает на этом отрезке
своих наименьшего m и наибольшего M значений, т.е. для любых
x Î [a;b]
выполняется неравенство:
m ≤ f(x) ≤
M.
Теорема 2. Если функция f(x) непрерывна на отрезке [a;b], то для любого числа С,
удовлетворяющего неравенству m ≤ С ≤ M, на отрезке [a;b] найдётся хотя бы одна точка х0, в которой выполняется равенство:
f(х0) = С.
Теорема 3. Если функция f(x) непрерывна на отрезке [a;b] и на концах этого отрезка имеет
значения различных знаков, то существует хотя бы одна точка х0
Î (a;b), в которой выполняется равенство:
f(х0) = 0.
Теорема 4 (теорема Ролля). Если функция f(x) определена на отрезке [a;b] и выполнены следующие условия:
· f(x) непрерывна на отрезке [a;b];
· f(x) дифференцируема на интервале (a;b);
· f(a) = f(b),
то внутри этого отрезка [a;b] найдется хотя бы одна точка х0,
в которой выполняется равенство:
f '(х0) = 0.
Доказательство. Так как f(x) непрерывна
на отрезке [a;b], то она
достигает на этом отрезке своих наименьшего m и
наибольшего M значений.
Возможны два случая:
m = M и m < M.
· Если m = M, то f(x) = const = m = M. Тогда f '(x) = 0 при любом x Î
[a;b].
Следовательно, в этом случае теорема верна и при этом в качестве х0
можно рассматривать любое значение x Î
[a;b].
· Если m < M, то исходя из условия f(a) = f(b), по
крайней мере одно из чисел m или M не равно f(a) = f(b). Для определённости предположим,
что M – наибольшее значение f(x) достигается не на концах отрезка [a;b], а в некоторой внутренней точке х0
Î (a;b). Тогда в точке х0 для приращения функции справедливо
неравенство: Dy = f(х0 +
Dx) – f(хо)
≤ 0, так как f(х0)
= M – наибольшее значение f(x) на
отрезке [a;b] и Dx такое, что х0
+ D x Î
[a;b].
· Если D x > 0, то
и существует ![]()
·
Если
D x < 0, то
и существует ![]()
Так как по условию теоремы функция f(x) дифференцируема при xÎ
(a;b), то в
точке хо существует производная. Значит
справедливы равенства:
f ' (х0 + 0) = f ' (х0 – 0) = f ' (х0) = 0.
Теорема доказана.
Геометрический смысл теоремы Ролля
С геометрической точки зрения теорема
Ролля означает, что график функции, непрерывной на
отрезке [a;b], дифференцируемой
на интервале (a;b) и
принимающей на концах отрезка равные значения, имеет хотя бы одну точку с
координатами (х0 ; f (х0)),
где х0Î (a;b), в которой касательная параллельна оси Ox (рис. 7).

Рис.
7
Теорема 5 (теорема Лагранжа). Если функция f(x) определена на отрезке [a;b] и выполнены следующие условия:
· f(x) непрерывна на отрезке [a;b],
· f(x) дифференцируема на интервале (a;b),
то внутри этого отрезка существует
хотя бы одна точка х0, в которой выполняется равенство:
f ' (х0) =
.
Доказательство. Рассмотрим вспомогательную функцию F(x) = f(x) + l×x, где l = const. Потребуем, что бы для F(x) выполнялось условие F(a) = F(b).
Так как F(a) = f(a) + l×a и F(b) = f(b) + l×b, то получим равенство:
f(a) + l×a =
f(b) + l×b.
Отсюда выразим значение l:
l = –
.
При этом значении l
функция F(x) = f(x) –
.
Функция F(x)
удовлетворяет всем условиям теоремы Ролля:
· F(x) непрерывна на отрезке [a;b]:
· F(x) дифференцируема на интервале (a;b)
· F(a) = F(b).
Следовательно, по теореме Ролля на
интервале (a;b) существует
хотя бы одна точка х0, в которой выполняется равенство:
F '(х0)
= 0.
Найдём F '(x):
F '(x) = f '(x) –
.
Поэтому F '(x0) = f '(х0) –
= 0, если f '(х0)
=
.
Теорема доказана.
Геометрический смысл теоремы Лагранжа
С геометрической точки зрения теорема
Лагранжа означает, что график функции, непрерывной на отрезке [a;b] и дифференцируемой на интервале (a;b), имеет хотя бы одну точку (х0; f(х0),
в которой касательная параллельна секущей, проходящей через точки A(a; f(a)) и B(b; f(b)) (рис. 8)

Рис. 8
Теорема 6 (теорема Коши). Если функции f(x) и g(x) определены на отрезке [a;b] и удовлетворяют условиям:
· f(x)
и g(x) непрерывны
на отрезке [a;b];
· f(x) и g(x) дифференцируемы на интервале (a;b);
· g '(x) ¹ 0 при любом x Î (a;b),
то внутри отрезка [a;b] найдётся хотя бы одна точка х0,
в которой выполняется равенство:
.
Доказательство аналогично доказательству теоремы 5 (теорема Лагранжа)
при вспомогательной функции
F(x) = f(x) + l × g(x),
где l = const, которую выбирают так, чтобы F(a) = F(b).
Теорема 7 (правило Лопиталя). Если функции f(x) и g(x) определены в некоторой окрестности
точки х0
и в этой окрестности они удовлетворяют условиям:
· f(x) и g(x)
дифференцируемы в каждой точке за исключением может быть самой точки х0;
· g '(x) ¹ 0 для любого x из этой окрестности;
·
или
,
тогда, если существует
конечный или бесконечный, то
выполняется равенство:
=
.
Замечание 1. Правило Лопиталя
используется для раскрытия неопределённостей типа
или
, возникающих при вычислении пределов. Если под знаком
предела оказывается неопределённость другого типа: 0×∞,
, 10, 00 или ∞0, то с
помощью тождественных алгебраических преобразований такая неопределённость
приводится к
или
и тогда можно
применить правило Лопиталя.
Замечание 2. Если к условиям теоремы 7 добавить дифференцируемость
функций f '(x) и g'(x) в окрестности точки х0,
то при выполнении остальных требований для f '(x) и g'(x) правило Лопиталя можно
применить повторно. При этом будет справедливо равенство:
=
= 
Пример 1. Вычислить предел:

Пример 2.
Вычислить предел:

Пример 3.
Вычислить предел:

Пример 4. Вычислить предел:
.
Пример 5. Вычислить предел:

Пример 6. Вычислить предел:


Определение 1. Если точка M(x; y) перемещается по кривой y =
f(x) так, что хотя бы одна из
координат точки стремится к ¥ и при этом расстояние от этой точки до некоторой
прямой стремится к 0, то эта прямая называется асимптотой кривой y = f(x).
Асимптоты бывают двух видов: вертикальные и наклонные.
Определение 2. Прямая x = a называется вертикальной асимптотой кривой y = f(x), если хотя
бы один из односторонних пределов
или
равен +¥ или
– ¥.
Замечание.
Если прямая x =
a является вертикальной асимптотой
кривой y = f(x), то в точке x = a функция f(x) имеет
разрыв второго рода. Наоборот, если в точке x = a функция f(x) имеет разрыв второго рода, то прямая x = a является
вертикальной асимптотой кривой y = f(x).
Определение 3. Прямая
называется наклонной асимптотой кривой
при
(или
), если функцию f(x) можно
представить в виде:
,
где
(x) – бесконечно малая функция при
(или
).
Теорема 1. Для того
чтобы кривая y =
f(x) имела
наклонную асимптоту при
(или
) необходимо и достаточно существования
двух конечных пределов:
и 
Доказательство. Ограничимся случаем
.
Необходимость. Пусть y = kx+b – наклонная
асимптота при
кривой y = f(x). Тогда
функцию f(x) представим в виде:
, где
при
.
Убедимся в существовании конечных пределов:
.
.
Необходимость доказана.
Достаточность.
Пусть существуют конечные пределы
и
.
Тогда по свойству конечных пределов
второй предел можно переписать в виде:
,
где
(x) – бесконечно малая величина при
.
Отсюда получаем:
,
где
при
.
Достаточность доказана.
Пример 1.
Найти асимптоты кривой
.
Решение.
1) D(y) = (–¥;–1) È (–1;1) È (1;+ ¥).
2) Точки x = –1 и x =
1 являются точками разрыва второго рода, так как:




Поэтому прямые
x =
–1 и x =
1 являются вертикальными асимптотами.
3) Вычислим пределы:
, k =
1.

Отсюда следует, что при
прямая y = 1×x +0, т.е. y = x –
наклонная асимптота при
.
Найдём наклонную асимптоту при
.
Вычисляя те же пределы при
, получим k = 1 и b = 0, т.е. прямая y = x является наклонной
асимптотой при
.
Ответ: x = ± 1 –
вертикальные асимптоты
y = x –
наклонная асимптота при x ® ±¥.
Определение 4. Функция y = f(x) называется
возрастающей (убывающей) на
промежутке (a;b), если для
любых x1 и x2, принадлежащих этому промежутку, из условия x2
> x1 следует неравенство:
f(x2) > f(x1) (f(x2) < f(x1)).
Определение 5. Функция y = f(x) называется
монотонной на промежутке (a;b), если она на этом промежутке
является только возрастающей или только убывающей.
Теорема 2 (достаточные условия
монотонности). Если
функция y =
f(x)
дифференцируема на промежутке (a;b) и f’(x) > 0 (f’(x) < 0)
для любых x Î (a;b), то функция
возрастает (убывает) на этом промежутке.
Доказательство.
Возьмём любые два значения x1 и x2 из промежутка (a;b). Для определённости предположим, что x2 > x1.
На отрезке [x1;x2] функция y =
f(x) непрерывна
и дифференцируема (из условия теоремы). Следовательно, она удовлетворяет
теореме Лагранжа на отрезке [x1; x2], т.е. существует хотя бы одна точка c Î (x1; x2), в которой выполняется равенство:
f(x2) – f(x1) = f' (c) × (x2 – x1).
Если f '(x) > 0 для
любых xÎ(a;b), то f '(c) > 0. Поэтому f(x2) – f(x1) > 0, т.е. из условия x2 > x1 следует неравенство f(x2) > f(x1). А так как x1 и x2
–любые
значения из промежутка (a;b), то
функция y =
f(x) возрастает
на этом промежутке.
Если
для любых
, то
. Поэтому
, то есть из условия x2 > x1 следует неравенство f(x2) < f(x1). Так как x1 и x2 любые значения из промежутка (a;b), то функция y = f(x) убывает на
этом промежутке.
Теорема доказана.
Определение 6. Функция y = f(x) имеет в
точке x0ÎD(f) максимум
ymax (минимум
ymin), если существует такая окрестность
точки x0, в которой для всех x выполняется неравенство:
f(x0) > f(x) (f(x0) < f(x)).
Определение 7. Точки
максимума и минимума функции называются точками экстремума функции.
Теорема 3 (необходимое условие
экстремума). Если
функция y =
f(x) имеет
экстремум в точке x0, то в этой точке производная функции равна нулю или
не существует.
Доказательство. 1)Для определённости рассмотрим случай, когда функция y = f(x) в точке x0 имеет максимум и в этой точке существует производная.
Тогда из определения максимума для любого x,
принадлежащего окрестности точки x0
f(x0) > f(x).
Отсюда следует, что для любого Dx ≠ 0 справедливо
неравенство: f(x0+Dx) – f(x0) < 0. Разделим это неравенство на
Dx, получим:
при Dx > 0: ![]()
при Dx < 0: ![]()
Перейдём к пределам:
![]()

Так как
существует, то:
![]()
Аналогично рассматривается случай,
когда x0 – точка минимума.
2) Если f '(x0) не существует или равна ¥, то
точка x0 может быть точкой экстремума функции.
Например, функция y =
имеет минимум при x = 0, хотя y'(0) не
существует (рис. 9).

Теорема доказана.
Теорема 4 (достаточное условие
экстремума). Если
функция y =
f(x) непрерывна
в точке x0, дифференцируема в некоторой её окрестности, за исключением
может быть самой этой точки, f’(x0) = 0 или не существует и при переходе x через точку x0 производная f '(x) изменяет знак, то точка x0 является точкой экстремума. Если при этом знак
f '(x) меняется
с + на –, то x0 – точка максимума,
с – на +, то x0 – точка минимума.
Доказательство.
Пусть f '(x) при переходе x через точку
x0 изменяет знак с
+
на – ,
т.е. f '(x) > 0 при x Î
(x0 – d; x0) и
f '(x) <
0 при x Î (x0; x0 + d),
где d > 0
(рис. 10).

1) Пусть x Î (x0 – d; x0). На отрезке [x; x0] функция y =
f(x)
удовлетворяет теореме Лагранжа. Значит, на интервале (x; x0) найдётся хотя бы одна точка c1, в которой выполняется равенство:
f(x) – f(x0) = f '(c1)×(x –
x0),
где c1Î (x0 – d; x0).
Так как f '(c1) > 0 и x – x0 < 0, то f(x) – f(x0) < 0.
2) Пусть
. На отрезке
функция
также удовлетворяет
теореме Лагранжа. Значит на интервале (x0; x) найдётся
хотя бы одна точка с2, в которой выполняется равенство:
f(x) – f(x0) = f’(c2)×(x – x0),
где c2 Î (x0; x0 + d).
Так как f '(c2) < 0 и x – x0 > 0, то f(x) – f(x0) < 0.
Следовательно, для любого x Î (x0 – d; x0 + d) выполняется неравенство:
f(x0) > f(x).
Отсюда следует, что точка x0 является точкой
максимума функции y =
f(x). Аналогично рассматривается случай, когда
при переходе x через точку x0 изменяет знак с – на +. При этом точка x0 является точкой минимума функции
.
Теорема доказана.
Пусть функция y = f(x) дифференцируема в любой точке промежутка (a;b). Тогда она имеет конечную
производную в любой точке этого промежутка. Значит, существует касательная к графику
функции y =
f(x) в любой
его точке (x; f(x)) при a <
x <
b.
Определение 8. График функции y = f(x), дифференцируемой в каждой точке промежутка (a;b), называется выпуклым (вогнутым) на этом промежутке, если для любого x Î (a;b) график расположен не выше (не ниже)
касательной к графику в точке (x; f(x)).
Теорема 5 (достаточное условие
выпуклости или вогнутости кривой).
Пусть функция y = f(x) дважды дифференцируема на промежутке (a;b) и
f ''(x) для x Î (a;b) сохраняет свой знак, тогда кривая y = f(x) выпуклая,
если f ''(x) £ 0
при x Î (a;b), и кривая y =
f(x) вогнутая, если f ''(x) ³ 0
при x Î (a;b).
Доказательство.
Для определённости рассмотрим случай, когда f ''(x) ³ 0 для x Î (a;b). Обозначим x0 любую точку промежутка (a;b). Построим касательную к кривой y = f(x) в точке (x0; f(x0)): yкасат = f(x0) + f '(x0)∙(x –
x0). Покажем, что график функции y = f(x) лежит не ниже этой касательной,
т.е. выполняется неравенство: (f(x) – yкасат(x)) ³ 0 для любого x Î (a;b) (рис.11).
f(x) – yкасат(x) = f(x) – (f(x0) + f '(x0)∙(x –
x0)) =
= f(x)
– f(x0) – f '(x0)∙(x – x0)
= (f(x) – f(x0)) – f '(x0)∙(x – x0), (1)
где x Î (a;b) .
Функция y = f(x) на отрезке
[x0;x] удовлетворяет условию теоремы Лагранжа,
т.е. на отрезке [x0;x] найдётся хотя бы одна точка c1, для которой
выполняется равенство:
f (x) – f(x0) = f '(c1)∙(x –
x0).

Подставим в равенство (1) полученное
соотношение.
f(x) –
yкасат(x) = f '(c1)(x– x0) – f ' (x0)(x –
x0) = (x – x0)×(f ' (c1) – f ' (x0)). (2) Функция f '(x) на отрезке
[x0;c1]
удовлетворяет условию теоремы Лагранжа, т.е. на промежутке (x0;c1) найдётся хотя бы одна точка с2, для которой выполняется
равенство:
f
'(c1) – f '(x0)
= f
''(c2)(c1 – x0).
Подставим в равенство (2) полученное
соотношение:
f(x) – yкасат(x) = (x –
x0)×f ''(c2)∙(c1 – x0). (3)
Если x > x0, то c1 > x0 и c2 > x0, т.е. x – x0 > 0 и с1
– x0 > 0.
По предположению f ''(x) ³ 0. Тогда f(x) – yкасат(x) ³ 0.
Если x < x0, то c1 < x0 и
c2 < x0, т.е. x – x0 < 0 и c1 – x0 < 0. Тогда f(x) – yкасат(x) ³ 0.
Следовательно, при любом x Î (a;b) выполняется неравенство:
f(x) – yкасат(x) ³ 0,
т.е. на промежутке (a,b) график функции y = f(x) вогнутый.
Аналогично можно доказать, что если f ''(x) £ 0 при любом x Î (a;b), то кривая y = f(x) на промежутке
(a;b) будет
выпуклой.
Теорема доказана.
Определение 9. Пусть в
точке (x0; f(x0)) существует касательная. Тогда
точка (x0; f(x0)), отделяющая выпуклую часть кривой
от вогнутой (или наоборот) называется точкой
перегиба графика функции y =
f(x).
Теорема 6 (достаточное условие точки
перегиба). Если
функция y =
f(x) дважды
дифференцируема в окрестности точки x0, вторая производная функции f ''(x0) = 0 (или не существует) и f ''(x) меняет свой знак при переходе x через точку x0, то точка (x0; f(x0)) – точка перегиба кривой y =
f(x).
Доказательство.
Для определенности рассмотрим случай, когда f ''(x) при переходе через точку x0 изменяет знак с
+ на
–.
Тогда в левой полуокрестности точки x0 f ''(x) > 0, т. е. кривая при x < x0 вогнутая, а в правой полуокрестности точки x0 f ''(x) < 0, т. е. кривая при x > x0 выпуклая.
Следовательно, точка (x0; f(x0)) по определению является точкой
перегиба графика функции y = f(x).
Аналогично рассматривается другой
случай, когда f ''(x) при
переходе
через точку x0 изменяет знак с – на
+.
Теорема доказана.
Пусть функция y = f(x) определена на отрезке [a;b].
Определение 10. Число f(c) называется
наибольшим (наименьшим) значением функции y = f(x) на отрезке
[a;b] и
обозначается
(
), если для любого x Î
[a;b] выполняется
неравенство:
f(x) £ f(c)
(f(x) ³ f(c)) .
Если функция y = f(x) непрерывна на отрезке [a;b], то по свойству непрерывной на
отрезке функции она достигает
своих наибольшего и наименьшего значений.
Схема нахождения этих значений
следующая:
1) Найти все точки, в которых f '(x) = 0 (или
не существует). Причём выбрать те точки из полученных,
которые попадают на отрезок [a;b].
2) Вычислить значения функции в
полученных точках в п.1.
3) Вычислить значения функции в
граничных точках отрезка [a;b]: f(a) и f(b).
4) Из значений п.2 и п.3 найти
наибольшее число M и наименьшее m.
Тогда
![]()
1) Найти область определения функции y = f(x) –
множество D(f) тех
значений x, при которых функция y = f(x) имеет смысл.
2) Исследовать функцию на периодичность: выяснить, существует ли
наименьшее положительное число T такое, что f(x+T) = f(x) для любого
xÎ D(f). Если «да», то целесообразно далее
исследовать функцию и строить её график только на некотором отрезке длиной
периода T. Затем продолжить график на всю
область определения, разбивая её на интервалы длины T, в которых
повторяется картинка графика.
3)
Исследовать функцию на чётность и нечётность: выяснить, выполняются ли равенства:
f(– x) = f(x) для любого xÎ D(f) – чётность
или
f(– x) = – f(x) для любого xÎ D(f) – нечётность.
Это позволяет узнать, есть ли
симметрия графика: относительно оси Oy – чётная или относительно начала координат – нечётная.
4) Найти точки пересечения графика
функции
с осями координат:
· с осью Oy: точка (0; f(0)), если 0 Î D(f),
· с осью Oх: точка (xk; 0), где xkÎ D(f) и является решением уравнения f(x) = 0.
5) Найти промежутки знакопостоянства:
выяснить, при каких x Î D(f) выполняются неравенства f(x) > 0 (график функции расположен выше оси Ox) и f(x) < 0
(график функции расположен ниже оси Ox).
6) Исследовать функцию на непрерывность, установить тип точек разрыва.
7) Найти вертикальные и
наклонные асимптоты (см. §6, п.1, с. 43).
8) Найти промежутки убывания и возрастания, экстремумы функции.
9) Найти множество E(f) значений функции.
10) Найти промежутки выпуклости, вогнутости и точки перегиба графика.
11) Построить график функции, используя свойства, установленные в
проведенном исследовании. Если в некоторых промежутках график остался неясным,
то его уточняют по дополнительным точкам.
Пример.
Исследовать функцию y =
(x +
2)e–x и построить её
график.
1) D(y) = R.
2) Функция не периодическая.
3) Так как y(–x) ≠ y(x) и y(–x) ≠ –y(x), то функция общего вида, не
является ни чётной, ни нечётной.
4) Точка пересечения графика с осью Ox : (– 2; 0), с Oy : (0; 2)
5) При x Î (–¥; –2) функция отрицательная, при x Î (–2; +¥) функция положительная.
6) Функция непрерывна при x Î R.
7) Вертикальных асимптот нет.
Наклонные асимптоты: y = kx +
b.
а) 
k = 0
при x ® +¥

![]()

b = 0 при
.
Следовательно, y = 0 – наклонная (горизонтальная) асимптота
при
.
б)
при
наклонной асимптоты
нет.
8) f '(x) = ((x + 2)e– x) ' = 1×e– x+(x + 2)×(–e–x) = e–x(1 – x – 2) = –(x + 1)e– x.
D(y') = R.
y ' = 0: – (x+1)e– x = 0 Þ x = – 1,
f(–1) = 1×e1 =
e.

при x Î (– ¥;– 1) f(x) возрастает,
при x Î(– 1;+¥) f(x) убывает,
при x = –1 fmax (– 1) = (– 1+2)e– (– 1) = e.
9) E(f) = (–¥; e), так как
![]()

и fmax (–1) = e.
10) f ''(x) = (– (x + 1)e– x) ' = – 1e– x + (x +
1)e–x = e– x(x +
1 – 1) = xe–x.
D(f '') = R
f
'' (x) = 0 : xe– x = 0 Þ x = 0,
f(0) = 2.

при x Î
(– ¥;0) график f(x) выпуклый
при x Î
(0;+¥) график f(x) вогнутый
Точка (0;2) – точка перегиба графика.
11) Результаты проведенного исследования cведём в таблицу и построим график (рис. 12)
Таблица
Результаты исследования функции y = (x + 2)e – x
|
x |
(– ¥;–
1) |
–
1 |
(– 1;0) |
0 |
(0;+¥) |
|
знак f
' (x) |
+ |
0 |
– |
– |
– |
|
знак f '' (x) |
– |
– |
– |
0 |
+ |
|
F(x) |
|
e |
|
2 |
|
|
|
|
|
|
|

Определение 1. Функция F(x) называется
первообразной для функции f(x) на некотором промежутке, если в каждой
точке этого промежутка функция F(x)
дифференцируема и выполняется равенство F '(x) = f(x).
Пример 1.
Функция F (x) = sin x является первообразной функции f(x) = cos x на бесконечном промежутке (– ¥;
+¥),
так как
F’(x) = (sin x) ' = cos x
= f(x) для x Î
(– ¥;+¥).
Нетрудно убедиться, что функции F1(x) = sin x + 5 и F2(x) = sin x – 10 также являются
первообразными функции f(x) = cos x для всех
(– ¥;+¥), т.е. если для функции f(x) на некотором промежутке существует
первообразная функции, то она не является единственной. Докажем, что множество
всех первообразных для данной функции f(x) есть множество, которое задаётся формулой F(x) + C, где C – любая постоянная величина.
Теорема 1 (об общем виде первообразной). Пусть F(x) – одна из
первообразных для функции f(x) на
интервале (a;b). Тогда любая
другая первообразная для функции f(x) на
интервале (a;b)
представлена в виде F(x) + C, где C – некоторое число.
Доказательство.
Во-первых, проверим, что F(x) + C также является первообразной для
функции f(x) на
интервале (a;b).
По условию теоремы F(x) на интервале (a;b) является первообразной для функции f(x), поэтому выполняется равенство:
F '(x) = f(x) при любом xÎ (a;b).
Так как С
– некоторое число, то
(F(x) + С) ' = F '(x)+С ' = F '(x) + 0 = f(x).
Отсюда следует: (F(x) + С)' = f(x) при любом xÎ (a;b), а значит F(x) + С на интервале (a;b) является первообразной для функции f(x).
Во-вторых, проверим, что если F(x) и Ф(x) – две
первообразные для функции f(x) на
интервале (a;b), то они
различаются между собой на постоянную величину, т.е. F(x) – Ф(x) = const.
Обозначим j(x) = F(x) – Ф(x). Так как по предположению функции F(x) и Ф(x) первообразные на интервале (a;b) для функции f(x), то выполняются равенства: F '(x) = f(x) и Ф'(x) = f(x) при любом xÎ (a;b).
Следовательно, j'(x) = F '(x) – Ф' (x) = f(x) – f(x) = 0 при любом xÎ (a;b).
Функция j(x) непрерывна и дифференцируема при xÎ (a;b). Значит, на любом отрезке [x1; x2] Ì (a; b) функция j(x)
удовлетворяет теореме Лагранжа: существует точка
Î(x1; x2), для которой выполняется равенство:
j(x2)
– j(x1) = j' (
)× (x2 – x1) = 0×(x2 – x1) = 0
Þ j(x2) – j(x1)
= 0 Þ j(x2)
= j(x1) Þ j(x) = const.
Значит, F(x) – Ф(x) = const.
Итак, получили, что если известна
одна первообразная F(x) для
функции f(x) на
интервале (a;b), то любая
другая первообразная может быть представлена в виде F(x) + С, где С – произвольная постоянная величина. Такая форма
записи первообразных носит название общего
вида первообразной.
Определение 2. Множество всех первообразных для данной функции f(x) на интервале (a;b) называется неопределённым интегралом функции f(x) на этом интервале и обозначается символом:
![]()
В обозначении
знак
называется знаком
интеграла,
– подынтегральным выражением,
– подынтегральной функцией,
– переменной интегрирования.
Теорема 2. Если функция f(x) непрерывна
на промежутке (a;b), то она
имеет на промежутке (a;b) первообразную и неопределённый интеграл.
Замечание.
Операция нахождения неопределённого интеграла от данной функции f(x) на некотором промежутке носит
название интегрирования функции f(x).
Из определений
первообразной F(x) и
неопределённого интеграла от данной функции f(x) на некотором промежутке следуют свойства
неопределённого интеграла:
1.
.
2.
.
3.
, где С
– произвольная постоянная.
4.
, где k = const.
5. ![]()
Замечание. Все
вышеперечисленные свойства верны при условии, что интегралы, фигурирующие в
них, рассматриваются на одном и том же промежутке и существуют.
Действие интегрирования является
обратным действию дифференцирования, т.е. по заданной производной функции f(x) надо восстановить начальную функцию
F(x). Тогда из
определения 2 и таблицы производных (см. §4, п. 3, с.
24) получается таблица основных
интегралов.
1.
.
2.
.
3.
.
4.
.
5.
.
6.
.
7.
.
8.
.
9.
.
10.
.
11.
.
12.
.
13.
.
14.
.
15.
.
16.
.
В формулах 1-16 С
– произвольная постоянная.
Замечание.
Интеграл, взятый не от любой элементарной функции, является элементарной
функцией. Примерами могут служить следующие интегралы, часто встречающиеся в
задачах:
– интеграл Пуассона,
– интегралы Френеля,
– интегральный
логарифм,
– интегральный косинус
и синус.
Указанные функции существуют и имеют
важное прикладное значение. Для этих функций составлены таблицы значений.
а) Работа с таблицей: предложенный интеграл оказался одним из
табличных интегралов. В этом случае требуется безошибочно найти соответствующую
формулу таблицы основных интегралов и ею воспользоваться.
Пример 1.
1.
(формула 14)
2.
(формула 16)
б) Метод разложения: предложенный
интеграл после применения линейных свойств (4 и 5) неопределённого интеграла заменяется на алгебраическую сумму табличных интегралов.
Пример 2.

Ответ:
.
Пример 3.


Ответ:
.
Пример 4.
![]()
Ответ: ![]()
в) Подведение под знак дифференциала: предложенный интеграл удается
свести к табличному с помощью изменения переменой
интегрирования или за счёт преобразований под знаком дифференциала. При этом
используют следующие формулы:
d(j(x)) = j'(x)dx;

![]()
и т.д.
Далее используют тот факт, что если
известен результат
,
то равенство
![]()
будет справедливо для любой
дифференцируемой функции u = j(x).
Пример 5.

Ответ:
.
Пример 6.
.
Ответ:
.
Пример 7.

Ответ:
.
Пример 8.
.
Ответ:
.
Пример 9.
.
Ответ:
.
Подстановка (или замена переменной)
базируется на следующей теореме.
Теорема 1. Если не удаётся найти интеграл
непосредственно, то
можно выбрать такую функцию x =
j(t), удовлетворяющую условиям:
1) j(t) непрерывна при t Î (a;b), соответствующем интервалу xÎ (a;b),
2) дифференцируемая при tÎ (a;b);
3) имеет обратную функцию t = j–1(x),
чтобы
, t =
j–1(x)
стал табличным или более простым.
Иногда для упрощения интеграла можно сделать замену t = y(x).
Замечание. Выбор
правильной подстановки в значительной степени зависит от искусства
вычисляющего.
Пример 10.
.
Ответ:
.
Пример 11.

.
Ответ:
.
Пример 12.

.
Ответ:
.
Пример 13. 
![]()
![]()
![]()
.
Ответ:
.
Метод интегрирования по частям
базируется на следующей теореме.
Теорема 2. Пусть функции u = u(x) и v = v(x)
дифференцируемы на некотором интервале (a;b). Пусть на интервале (a;b) функция v(x)×u'(x) имеет первообразную.
Тогда на интервале (a;b) функция u(x)×v'(x) также имеет первообразную.
При этом справедливо равенство:
.
Доказательство.
По формуле дифференцирования произведения:
(u(x)×v(x))'= u '(x)×v(x) + u(x)×v '(x)
и свойству неопределённого интеграла:
![]()
можно записать:

Замечание 1. Определение
дифференциала и свойства инвариантности его формы позволяют переписать формулу
интегрирования по частям в более короткой форме:
.
Замечание 2.
Для успешного вычисления интеграла необходимо разумно разбить подынтегральное
выражение на два множителя u(x) и dv(x) так, чтобы
интеграл
оказался легко
интегрируемым.
Практика показывает, что большая
часть интегралов, берущихся с помощью метода интегрирования по частям, может
быть разбита на следующие три группы.
1)
К первой группе относятся
интегралы, у которых подынтегральная функция содержит в качестве множителя одну
из следующих функций:
ln x; arcsin
x;
arccos x; arctg x;
arcctg x; ln2x; lnj(x);
arcsin2x;…
при условии, что оставшаяся часть
подынтегральной функции представляет собой производную известной функции.
Тогда за функцию u(x) берут соответствующую из перечисленных.
2) Ко второй группе относятся интегралы вида:
,
,
,
,
где a,b,a,n,A – некоторые
постоянные числа, A >
0, n Î N.
При этом в качестве u(x) следует брать (ax +b)n и интегрировать по частям n раз.
3) К третьей группе относятся
интегралы вида:
,
,
,
,
,
,
где a, b, A – постоянные числа, A > 0, A ≠ 1.
Такие интегралы берутся двукратным
интегрированием по частям при любом выборе u(x). Это приводит к линейному уравнению относительно
предложенного интеграла, откуда его и находят.
Замечание.
Указанные три группы не исчерпывают всех без исключения интегралов, берущихся
методом интегрирования по частям.
Пример 14.



Ответ: 
Пример 15.

Ответ:
Пример 16.

Ответ: ![]()
Пример 17.

Ответ:![]()
Пример 18.

![]()
Далее необходимо решить уравнение:
![]()
Пусть
, тогда уравнение запишется в виде:

![]()
.
Ответ: ![]()
.
Пример 19.
.
Пусть
, тогда получаем уравнение вида:
![]()
![]()
.
Ответ:
.
Разложение рациональной дроби на
сумму простых дробей
Определение 1. Рациональной
дробью называется отношение двух многочленов:

![]()
![]()
Определение 2. Рациональная дробь называется правильной, если m < n. В противном
случае (если m ³ n) она называется неправильной.
Определение 3. Простыми
рациональными дробями называются дроби следующих четырех типов:
I .
,
II.
,
III.
,
IV.
Теорема
3. Всякую неправильную рациональную дробь можно представить в виде суммы
целой части (многочлена) и правильной рациональной дроби.
Пример 20.
Представить дробь
в виде суммы целой
части и правильной рациональной дроби.
Так как высшая степень числителя
равна 4, а знаменателя – 2, то данная дробь неправильная (4 > 2). Разделим
числитель на знаменатель:

Следовательно, дробь можно записать в виде:
.
Ответ: ![]()
.
Теорема 4. Любую правильную рациональную дробь можно
единственным образом представить в виде суммы конечного числа простых
рациональных дробей.
Разложение правильной рациональной
дроби
(m<n) на сумму простых дробей можно выполнить по следующей
схеме:
·
Найти
корни многочлена Qn(x) и представить его в виде произведения простых
множителей:
,
где
, ![]()
, ![]()
, ![]()
, ![]()
·Записать разложение дроби с
неопределёнными коэффициентами:


·Определить коэффициенты
![]()
суммарное число
которых равно n, методом неопределенных
коэффициентов.
Для этого необходимо всё разложение
привести к общему знаменателю и приравнять числитель полученной дроби к Pm(x).
Приравнивая в этих многочленах коэффициенты при одинаковых степенях x, получим систему из n линейных
уравнений с n неизвестными. Эта система имеет
единственное решение – искомые коэффициенты.
Пример 21.
Разложить дробь
на сумму простых
дробей.
1) Данная дробь правильная. Разложим
знаменатель на множители:
.
2) Запишем разложение данной дроби на сумму простых дробей:

3) Для нахождения коэффициентов A, B и
C приводим разложение дроби к общему
знаменателю и приравняем числители дробей.
![]()
![]()

Следовательно, дробь можно записать в виде:
.
Ответ:
.
Интегрирование простых дробей
Задача интегрирования рациональной дроби
сводится к умению интегрирования только правильных рациональных дробей, так как
интегрирование целой части дроби (многочлена) – задача не сложная. Если решена
задача разложения правильной дроби на сумму простых дробей, то дальше надо
уметь интегрировать простые дроби. Покажем, как интегрировать простые дроби
(четыре типа).
I тип. ![]()
II тип. 
![]()
III тип.




Интегрирование дроби IV типа проводится аналогично
интегрированию дроби III типа.
Пример 22. Найти интеграл от дроби III типа:

(D = 16 – 52 < 0 Þ дробь III типа)


.
Ответ:
.
Пример 23. Найти интеграл от дроби IV типа:


Ответ:
.
Итак, любая рациональная дробь
интегрируема. Для этого необходимо выполнить следующие шаги:
1) Выделить целую часть дроби, если
дробь является неправильной, т.е. представить в виде:
,
где Tm–n(x) и Rr(x) –
многочлены степени m–n и r соответственно (причём r < n).
2) Разложить правильную рациональную
дробь
на сумму простых
дробей.
3) Вычислить интегралы от многочлена Tm–n(x) и каждой
из простых дробей, полученных на шаге 2).
Пример 24. Найти интеграл 
1) Дробь
– неправильная
рациональная дробь. Выделим её целую часть:

Поэтому можно записать:
.
2) Полученную правильную дробь
разложим на сумму
простых дробей:

![]()

Отсюда следует: ![]()
.
Значит, подынтегральную рациональную
дробь можем представить в виде:
.
3) Найдём интеграл:

Ответ: 
1) Интеграл вида
![]()
а) Если n – чётное
число и m – чётное, то подынтегральное
выражение преобразуют с помощью формул:
, ![]()
б) Если одно из чисел m или n – нечётное, то выполняют замену:
t = sin x, если n – нечётное;
t = cos x, если m – нечётное.
Эта замена приводит к интегрированию
степенных интегралов или рациональных дробей.
в) Если оба числа m и n – нечётные, то интеграл берется как
в случае замены:
t = sin x, так и t = cos x.
Пример 25. Вычислить интеграл:

![]()
Ответ: ![]()
Пример 26. Вычислить интеграл:


Ответ: 
Пример 27. Вычислить интеграл:

Ответ: 
2)
Интегралы вида:
; ![]()
;
где ![]()
Такие интегралы находят после
предварительного применения формул:
![]()
![]()

Пример 28. Вычислить интеграл:

Ответ: 
3) Интеграл вида:
,
где f(u;v) –
рациональная функция двух переменных.
Такие интегралы приводятся к
интегралам от рациональной дроби с помощью замены:
;
;
;
.
Пример 29. Вычислить интеграл:


.
Ответ:
.
4) Интегралы вида:
, где f(u;v) –
рациональная функция двух переменных.
Такие интегралы находят сведением к интегралу от рациональной
дроби с помощью замены:

; 
Пример 30. Вычислить интеграл:

Ответ: 
5) Интегралы вида:
;
, где
.
Такие интегралы находят после
предварительного применения формул:
; ![]()
или с помощью замены:
;
или
.
Пример 31. Вычислить интеграл:


Ответ: ![]()
1) Интеграл вида 
Такие интегралы находят с помощью
преобразований и замены, аналогичных преобразованиям и замене для нахождения
интеграла от простой рациональной дроби III типа.
Пример 32. Вычислить
интеграл:

Ответ: 
2) Подынтегральная функция содержит
.
Тогда надо выполнить замену:

![]()
![]()
Такая замена приводит к интегралу от
некоторого тригонометрического выражения.
Пример 33. Вычислить интеграл:



Ответ: 
3) Подынтегральная
функция содержит
.
Тогда надо выполнить замену:


![]()
Пример 34. Вычислить интеграл:


Ответ: 
4) Подынтегральная
функция содержит
.
Тогда надо выполнить замену:


![]()
Пример 35. Вычислить интеграл:


Ответ: 
5) Подынтегральная
функция содержит
:
Тогда надо выполнить замену:
.
Пример 36. Вычислить интеграл:




Ответ: 

![]()
![]()
![]()
Пример 37. Вычислить интеграл:


Ответ: 