Работа 8: Определение жирности и упитанности рыб.
Цель занятия: Ознакомить студентов с методами определения жирности и упитанности рыб.
Материал и оборудование: рыба живая или фиксированная, весы, пинцет, ножницы, скальпель.
Жирность и упитанность являются
показателями биологического состояния и условий откорма рыб, и находится в
зависимости от возраста, пола, условий нагула, степени зрелости гонад рыб,
времени года. Жир характеризует процентное содержание жира в теле.
Шкала жирности
(по Прозоровской):
Балл 0 - Жира на кишечнике нет. Иногда кишечник покрыт тонкой белой соединительной пленкой. Между петлями кишечника видны нитевидные образования этой пленки.
Балл 1 - Тонкая шнуровидная полоска жира расположена между вторым и третьим отделами кишечника. Иногда по верхнему краю второго отдела проходит очень узкая прерывающаяся полоска жира.
Балл 2 - Неширокая полоска довольно плотного жира между вторым и третьим отделами кишечника. По верхнему краю второго отдела идет узкая непрерывная полоска жира. По нижнему краю третьего отдела кое-где виден жир отдельными небольшими участками.
Балл 3 - Широкая полоса жира в середине между вторым и третьим отделами кишечника. В петле между вторым и третьим отделами эта полоска расширяется. По верхнему краю второго отдела и нижнему краю третьего идут широкие жировые полосы. У первого изгиба кишечника, если считать от головного конца, имеется жировой вырост в виде треугольника. Анальный конец кишечника в подавляющем большинстве случаев залит тонким слоем жира.
Балл 4 - Кишечник почти целиком покрыт жиром за исключением маленьких просветов, где видна кишка. Эти просветы обычно бывают на второй петле и на третьем отделе кишечника; иногда можно встретить такие просветы и на втором отделе. Жировые выросты на обеих петлях очень мощные.
Балл 5 - Весь кишечник залит толстым слоем жира. Нет никаких просветов. Мощные жировые выросты на обеих петлях.
|
|
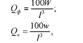
Определение упитанности рыбы
Упитанность рыбы обычно выражают
коэффициентом упитанности по Фультону и по Кларку:

где: Q —
коэффициент упитанности; l — длина рыбы;
W — масса рыбы;
w — масса рыбы без
внутренних органов.
С помощью этого
коэффициента можно выявлять сезонные изменения упитанности, связанные с полом и
возрастом и т.п. Для устранения влияния массы гонад и пищи, содержащейся в
кишечнике, коэффициент упитанности по Кларку вычисляется, используя массу рыбы
без внутренностей, однако при этом удаляется и внутренний жир, количество
которого в значительной мере связано с упитанностью. Результаты жирности,
упитанности и индекса наполнения кишечника заносят либо в специально
подготовленные рабочие тетради, либо дополняют таблицу 3 (с массой органов)
тремя новыми столбцами.
Задание: Определить жирность различных
видов рыб. Вычислить по формуле коэффициент упитанности.
Контрольные вопросы:
1.Что
такое жирность рыбы?
2.Для
чего в организме рыб служат жиры с преобладанием предельных кислот?
3.Какие
способы используют для определения жирности?
4. такое
коэффициент жирности?
5.Охарактеризуйте
шкалу жирности по Прозоровской?
6.На
какие группы по содержанию жира подразделяются рыбы?
7.От
чего зависит коэффициент жирности?
8.Как
определяется упитанность по Фультону?
9.Какие
существуют модификации формулы Фультона?
10.Какой
из методов определения упитанности позволяет получить более объективную
характеристику упитанности рыб?