МЕТОДОЛОГИИ РАЗРАБОТКИ ПРОГРАММНЫХ СРЕДСТВ
·
Структурное
программирование
·
Реализация
основ структурного программирования в языках программирования
·
Графическое
представление структурированных схем алгоритмов
·
Модульное
проектирование программных средств
ü Методы нисходящего проектирования
ü
Методы
восходящего проектирования
В 70-х гг. ХХ в. возник новый подход к разработке алгоритмов и программ, который получил название структурного программирования. Одним из первых инициаторов структурного программирования был профессор Э. Дейкстра. В 1965 г. он высказал предположение, что оператор GoTo (оператор безусловного перехода) вообще может быть исключён из языков программирования. По мнению Дейкстры, «квалификация программиста обратно пропорциональна числу операторов GoTo в его программах».
Достоинства структурного программирования по сравнению с интуитивным неструктурным программированием:
· уменьшение трудностей тестирования программ;
· повышение производительности труда программистов;
· повышение ясности и читабельности программ, что упрощает их сопровождение;
· повышение эффективности объектного кода программ как с точки зрения времени их выполнения, так и с точки зрения необходимых затрат памяти.
Основные положения структурного программирования
К концепциям структурного программирования относятся:
· отказ от использования оператора безусловного перехода (GoTo);
· применение фиксированного набора управляющих конструкций;
· использование метода нисходящего проектирования
В основу структурного программирования положено требование, чтобы каждый модуль алгоритма (программы) проектировался с единственным входом и единственным выходом. Программа представляется в виде множества вложенных модулей, каждый из которых имеет один вход и один выход.
Основой реализации структурированных программ является принцип Бома и Джакопини, в соответствии с которым любая программа может быть разработана с использованием лишь трех базовых структур:
· функционального блока;
· конструкции принятия двоичного (дихотомического) решения;
· конструкции обобщенного цикла.
Функциональный блок - это отдельный вычислительный оператор или любая последовательность вычислений с единственным входом и единственным выходом.

Рисунок 1 Изображение функционального блока в структурном программировании
Конструкция принятия двоичного (дихотомического) решения называется также конструкцией If-Then-Else (если-то-иначе), разветвлением или ветвлением. Это структура, обеспечивающая выбор между двумя альтернативными путями вычислительного процесса в зависимости от выполнения некоторого условия. Изображается с помощью символов «Решение» и «Процесс»

Рисунок 2 Изображение конструкции If-Then-Else в
структурном программировании
Конструкция обобщенного цикла - в качестве базовой конструкции структурного программирования используется цикл с предусловием, называе- мый циклом «Пока» (пока условие истинно, тело цикла выполняется). Изображается с помощью символов «Решение» и «Процесс».
Логические конструкции принятия двоичного решения и обобщенного цикла имеют только один вход и один выход. Поэтому они могут рассматриваться как функциональные блоки. C учётом этого вводится преобразование логических блоков в функциональный блок.

Рисунок 3 Изображение конструкции обобщенного цикла в структурном программировании
Кроме того, всякая последовательность функциональных блоков, называемая конструкцией следования, также может быть приведена к одному функциональному блоку.
|
|
Первая |
|
Вторая |
|
Третья |
|
|
|
подзадача |
|
подзадача |
|
подзадача |
|
Преобразования логических блоков и конструкции следования в один функциональный блок называются преобразованиями Бома-Джакопини. Их основу составляет принцип «чёрного ящика» (часть алгоритма или программы, реализующая некоторую функцию, с одним входом и одним выходом).
Таким образом, всякая программа, состоящая из функциональных блоков, операторов цикла с предусловием и операторов If-Then-Else, поддаётся последовательному преобразованию к единственному функциональному блоку. Эта последовательность преобразований может быть использована как средство понимания программы, подход к доказательству ее правильности и структурированности.
Резюме
Структурное программирование базируется на концепциях отказа от использования оператора безусловного перехода, применения фиксированного набора управляющих конструкций; использования метода нисходящего проектирования. Программа или схема алгоритма представляется в виде совокупности вложенных модулей, каждый из которых имеет один вход и один выход. В соответствии с принципом Бома-Джакопини любая программа может быть разработана с использованием лишь трех базовых структур: функционального блока, конструкции принятия двоичного решения, конструкции обобщенного цикла. Преобразования Бома-Джакопини могут быть использованы в качестве средства доказательства структурированности программ.
Реализация основ
структурного программирования в языках программирования
Реализация теоретических основ структурного программирования при разработке программ на конкретных языках программирования базируется на следующих правилах:
· все операторы в программе должны представлять собой либо непосредственно исполняемые в линейном порядке функциональные операторы, либо следующие управляющие конструкции:
· вызовы подпрограмм - любое допустимое на конкретном языке программирования обращение к замкнутой подпрограмме с одним входом и одним выходом;
· вложенные на произвольную глубину операторы If-Then-Else;
· циклические операторы (цикл с предусловием).
Этих средств достаточно для составления структурированных программ. Однако иногда допускаются расширения данных конструкций:
· дополнительные конструкции организации цикла:
· цикл с параметром как вариант цикла с предусловием;
· цикл с постусловием, называемый в структурном программировании циклом «До», в котором тело цикла выполняется перед проверкой условия выхода из цикла и повторяется до выполнения условия;
· использование оператора Case как расширения конструкции If-Then-Else;
· подпрограммы с несколькими входами или несколькими выходами (например один выход нормальный, второй - по ошибке), если это допускается отраслевыми стандартами или стандартами предприятия;
Графическое представление структурированных схем
алгоритмов
Для графического представления структурированных схем алгоритмов разработан ряд специальных методов. Ниже рассмотрены два из них - метод Дамке и схемы Насси-Шнейдермана.
Метод Дамке
М. Дамке предложил для конструкций структурированных схем алгоритмов специальные обозначения, основанные на идеях нисходящего проектирования. Основные конструкции структурного программирования по методу Дамке изображаются следующим образом:

Рисунок 4 Представление функционального блока

Рисунок 5 Представление конструкции If-Then-Else

Рисунок 6 Представление цикла с предусловием

Рисунок 7 Представление цикла с постусловием

Рисунок 8 Представление конструкции цикла с параметром

Рисунок 9 Представление конструкции Case по методу Дамке
Достоинства метода Дамке:
· схема алгоритма, представленная с помощью данного метода, нагляднее, чем классическая, особенно для больших программ;
· метод Дамке удобно использовать при разработке алгоритма по методу нисходящего проектирования;
· метод Дамке удобен при коллективной разработке ПС, так как позволяет независимо разрабатывать отдельные функциональные части программы.
Схемы Насси-Шнейдермана
Схемы Насси-Шнейдермана - это схемы, иллюстрирующие структуру передач управления внутри модуля с помощью вложенных друг в друга блоков.
Схемы используются для изображения структурированных схем и позволяют уменьшить громоздкость схем за счёт отсутствия явного указания линий перехода по управлению.
Схемы Насси-Шнейдермана называют ещё структурограммами.
Изображение основных элементов структурного программирования в схемах Насси-Шнейдермана организовано следующим образом. Каждый блок имеет форму прямоугольника и может быть вписан в любой внутренний прямоугольник любого другого блока. Информация в блоках записывается по тем же правилам, что и в структурированных схемах алгоритмов (на естественном языке или языке математических формул).

Рисунок 10 Представление функционального блока

Рисунок 11 Представление блока следования

Рисунок 12 Представление блока решения

Рисунок 13 Представление блока Case

Рисунок 14 Представление цикла с предусловием

Рисунок 15 Представление цикла с постусловием
Модульное проектирование
программных средств
Модульное проектирование является одним из первых подходов к разработке структуры ПС и уже несколько десятилетий сохраняет свои позиции как в качестве классического подхода, так и в качестве основы для современных технологий разработки ПС.
При разработке модульных ПС могут использоваться методы структурного проектирования или методы объектно-ориентированного проектирования. Их целью является формирование структуры создаваемой программы - ее разделение по некоторым установленным правилам на структурные компоненты (модуляризация) с последующей иерархической организацией данных компонентов. Для различных языков программирования такими компонентами могут быть подпрограммы, внешние модули, объекты и т.п.
Классическое определение идеальной модульной программы формулируется следующим образом. Модульная программа - это программа, в которой любую часть логической структуры можно изменить, не вызывая изменений в ее других частях.
Признаки модульности программ:
· программа состоит из модулей. Данный признак для модульной программы является очевидным;
· модули являются независимыми. Это значит, что модуль можно изменять или модифицировать без последствий в других модулях;
· условие «один вход - один выход». Модульная программа состоит из модулей, имеющих одну точку входа и одну точку выхода. В общем случае может быть более одного входа, но важно, чтобы точки входов были определены и другие модули не могли входить в данный модуль в произвольной точке.
Достоинства модульного проектирования:
· упрощение разработки ПС;
· исключение чрезмерной детализации обработки данных;
· упрощение сопровождения ПС;
· облегчение чтения и понимания программ;
· облегчение работы с данными, имеющими сложную структуру.
Недостатки модульности:
· модульный подход требует большего времени работы центрального процессора (в среднем на 5 - 10 %) за счет времени обращения к модулям;
· модульность программы приводит к увеличению ее объема (в среднем на 5 - 10 %);
· модульность требует дополнительной работы программиста и определенных навыков проектирования ПС.
Классические методы структурного проектирования модульных ПС делятся на три основные групп:
· методы нисходящего проектирования;
· методы расширения ядра;
· методы восходящего проектирования.
На практике обычно применяются различные сочетания этих методов.
В идеальной модульной программе любую часть логической структуры можно изменить, не вызывая изменений в ее других частях. Идеальная модульная программа состоит из независимых модулей, имеющих один вход и один выход. Модульные программы имеют достоинства и недостатки. Существует три группы классических методов проектирования модульных ПС.
Методы нисходящего проектирования
Основное назначение нисходящего проектирования - служить средством разбиения большой задачи на меньшие подзадачи так, чтобы каждую подзадачу можно было рассматривать независимо.
Суть метода нисходящего проектирования заключается в следующем.
На начальном шаге в соответствии с общими функциональными требованиями к программному средству разрабатывается его укрупненная структура без детальной проработки его отдельных частей. Затем выделяются функциональные требования более низкого уровня и в соответствии с ними разрабатываются отдельные компоненты программного средства, не детализированные на предыдущем шаге. Эти действия являются рекурсивными, то есть каждый из компонентов детализируется до тех пор, пока его составные части не будут окончательно уточнены. В последнем случае принимается решение о прекращении дальнейшего проектирования.
На каждом шаге нисходящего проектирования делается оценка правильности вносимых уточнений в контексте правильности функционирования разрабатываемого программного средства в целом.
Компоненты нижнего уровня ПС называются программными модулями. Для модулей характерны достаточная простота и прозрачность, позволяющие выполнять их непосредственное программирование.
Таким образом, на каждом шаге разработки уточняется реализация фрагмента алгоритма, то есть решается более простая задача.
Нисходящее проектирование служит средством разбиения большой задачи на меньшие подзадачи так, чтобы каждую подзадачу можно было рассматривать независимо. Существуют различные стратегии реализации нисходящего проектирования. Основные из них - пошаговое уточнение и анализ сообщений.
При пошаговом уточнении на каждом следующем этапе декомпозиции детализируются программные компоненты очередного более низкого уровня. При этом результаты каждого этапа являются уточнением результатов предыдущего этапа лишь с небольшими изменениями.
Существуют различные способы реализации пошагового уточнения.
Одним из классических способов реализации пошагового уточнения является проектирование ПС с помощью псевдокода и управляющих конструкций структурного программирования.
При использовании данного способа разбиение программы на модули осуществляется эвристическим способом.
Еще одним классическим способом реализации пошагового уточнения является использование комментариев для описания обработки данных.
При этом способе на каждом этапе уточнений используются управляющие конструкции структурного программирования, а правила обработки данных не детализируются. Они описываются в виде комментариев.
На каждом этапе уточнений блоки, представленные комментариями, частично детализируются. Но сами комментарии при этом не выбрасываются. В результате после окончания проектирования получается хорошо прокомментированный текст программы.
Анализ сообщений является второй из рассматриваемых классических стратегий, реализующих метод нисходящего проектирования. Анализ сообщений используется в первую очередь для структуризации ПС обработки информации и основывается на анализе потоков данных, обрабатываемых программным средством
Методы восходящего
проектирования
При использовании восходящего проектирования в первую очередь выделяются функции нижнего уровня, которые должно выполнять программное средство. Эти функции реализуются с помощью программных модулей самых нижних уровней. Затем на основе этих модулей проектируются программные компоненты более высокого уровня. Данные компоненты реализуют функции более высокого уровня. Процесс продолжается, пока не будет завершена разработка всего программного средства.
В чистом виде метод восходящего проектирования используется крайне редко. Основным его недостатком является то, что программисты начинают разработку программного средства с несущественных, вспомогательных деталей. Это затрудняет проектирование программного средства в целом.
Метод восходящего проектирования целесообразно применять в следующих случаях:
· существуют разработанные модули, которые могут быть использованы для выполнения некоторых функций разрабатываемой программы;
· заранее известно, что некоторые простые или стандартные модули потребуются нескольким различным частям программы (например, подпрограмма анализа ошибок, ввода-вывода и т.п.).
При использовании метода восходящего проектирования в первую очередь реализуются функции нижнего уровня программы. На основе полученных модулей проектируются программные компоненты более высокого уровня. Часто используется сочетание методов нисходящего и восходящего проектирования. Такое сочетание возможно различными способами.
При использовании данных методов в первую очередь создается ядро (основная часть) программы. Затем данное ядро постепенно расширяется, пока не будет полностью сформирована управляющая структура разрабатываемой программы.
Существует два подхода к реализации методов расширения ядра.
Первый подход основан на методах проектирования структур данных, используемых при иерархическом проектировании модулей. Данный подход применяется в методах JSP и JSD, разработанных Майклом Джексоном.
Второй подход основан на определении областей хранения данных с последующим анализом связанных с ними функций. Данный подход использует метод определения спецификаций модуля, разработанный Парнасом.
Метод JSP Джексона
Метод структурного программирования JSP (Jackson Structured Programming) разработан М. Джексоном в 70-х гг. XXв. Данный метод наиболее эффективен в случае высокой степени структуризации данных. Это характерно, например, для класса планово-экономических задач.
Метод JSP (называемый также методом Джексона) базируется на исходном положении, состоящем в том, что структура программы зависит от структуры подлежащих обработке данных. Поэтому структура данных может использоваться для формирования структуры программы.
Метод JSP основывается на возможности представления структур данных и структур программ единым набором основных конструкций. М. Джексоном предложены четыре основные конструкции данных.
1. Конструкция последовательности данных
Эта конструкция используется, когда два или более компонента данных следуют друг за другом строго последовательным образом и образуют единый компонент данных.
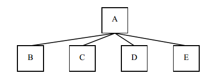
Графически конструкция последовательности данных (последовательность данных) изображается в соответствии с рис. На данном рисунке компоненты В, С, D, E объединяются в указанном порядке и образуют последовательность А.
В конструкции последовательности данных должно быть не менее двух подкомпонентов, причем каждый из них должен встречаться строго один раз и обязательно в предписанном порядке.

Рисунок 16 Конструкция последовательности данных

Рисунок 17 Пример последовательности данных
Конструкцией выбора данных (выбором данных) называется конструкция сведения результирующего компонента данных к одному из двух или более выбираемых подкомпонентов.

Рисунок 18 Пример правильного представления конструкции выбора данных
3. Конструкция повторения данных
Данная конструкция применяется тогда, когда конкретный элемент данных может повторяться от нуля до неограниченного числа раз.

Рисунок 19 Конструкция повторения данных
Элементарными являются те компоненты, которые не разбиваются далее на подкомпоненты. Примерами элементарных конструкций являются, например, первая запись D и запись D на, компоненты число N, месяц M, год Y Компонент может являться элементарным, потому что его нельзя разложить дальше или потому, что с практической точки зрения отсутствует необходимость в его дальнейшем разбиении.
Метод JSP основывается на возможности представления структур данных и структур программ единым набором основных конструкций. Существует четыре основных конструкции данных: конструкция последовательности, конструкция выбора, конструкция повторения и элементарная конструкция.

Рисунок 20 Иерархическая структура данных
Большинство структур (иерархическая, сетевая, реляционная) реальных наборов данных может быть сведено к иерархическим структурам, которые могут быть представлены в нотации структур метода JSP Джексона.
Проектирование структур программ
В соответствии с методом JSP конструкции, используемые для построения структур данных, применяются и для построения структур программ. Так же, как и данные, программы могут быть составлены из конструкций последовательности, выбора и повторения.
Большинство ПС предназначено для обработки некоторых входных данных и получения некоторых выходных данных. Структура выходных данных формируется программой в результате некоторого преобразования структуры входных данных. Таким образом, для проектирования структуры программы необходимо определить взаимосвязь между входными данными, выходными данными и процессом преобразования.
Для проектирования структуры программы по методу Джексона необходимо разработать структуры ее входных и выходных данных, определить взаимосвязь между данными структурами и процессом преобразования входных данных в выходные, сформировать ядро программы с учетом соответствий между входной и выходной структурами данных, поместить не нашедшие соответствия компоненты входных и выходных данных в нужные места структуры программы.
Этапы проектирования программного средства
Метод JSP реализуется пятью этапами:
· Проектирование структур входных и выходных данных.
· Идентификация соответствий между структурами данных.
· Проектирование структуры программы.
· Перечисление и распределение выполняемых операций.
· Создание текста программы на метаязыке структурированного описания.