Лекция 5. Комплексные числа. Алгебраическая форма
записи. Действия
над комплексными числами.
Те числа, с которыми
мы работали до сих пор, в математике
называются множеством действительных чисел и обозначаются буквой
. Все действительные числа
сидят на знакомой числовой прямой.
Комплексное число – это двумерное число.
Оно имеет вид
, где
и
– действительные
числа,
– так называемая мнимая
единица. Число
называется действительной
частью (
) комплексного числа
, число
называется мнимой
частью (
) комплексного
числа
.
– это ЕДИНОЕ ЧИСЛО, а не сложение.
Комплексные числа изображаются на комплексной плоскости.
Множество же комплексных
чисел принято обозначать «жирной» или утолщенной
буквой
. Комплексная плоскость состоит
из двух осей:
– действительная ось
– мнимая ось.
Построим на комплексной плоскости следующие комплексные числа:
,
, ![]()
,
, ![]()
,
,
, ![]()
Алгебраическая
форма записи комплексного числа имеет вид:
.
Еще существует тригонометрическая и
показательная форма комплексных чисел.
Пример 1. Сложить
два комплексных числа
, ![]()
Для того чтобы сложить два комплексных числа нужно сложить их
действительные и мнимые части:![]()
Для комплексных чисел справедливы переместительное и сочетательное свойство сложения.
Пример 2.Найти
разности комплексных чисел
, если
, ![]()
![]()
Или
.
![]()
Пример 3. Найти
произведение комплексных чисел
, ![]()
Очевидно, что произведение следует записать так:
![]()
![]()
Как и сумма, произведение комплексных чисел перестановочно, то
есть справедливо равенство:
.
Пример 4. Даны
комплексные числа
,
. Найти частное
.
Составим частное: ![]()
Деление чисел осуществляется методом умножения знаменателя и числителя на
сопряженное знаменателю выражение:

Пример 5. Дано комплексное число
. Записать данное число в
алгебраической форме (т.е. в форме
).
Приём тот же самый – умножаем знаменатель и числитель на
сопряженное знаменателю выражение. Снова смотрим на формулу
. В знаменателе уже есть
, поэтому знаменатель и числитель
нужно домножить на сопряженное выражение
, то есть на
:
![]()
3. Кроме алгебраической
записи комплексного числа, существует и тригонометрическая форма. Любое
комплексное число (кроме нуля)
можно записать в тригонометрической
форме:
, где
– это модуль комплексного числа,
а
– аргумент комплексного
числа. Изобразим на комплексной плоскости число
. Для определённости и простоты
объяснений расположим 
его в первой координатной четверти, т.е. считаем, что
.
Опр. Модулем
комплексного числа
называется расстояние от
начала координат до соответствующей точки комплексной плоскости, т.е. модуль
– это
длина радиус-вектора. Модуль комплексного числа
стандартно
обозначают:
или
.
Опр. Аргументом
комплексного числа
называется угол
между положительной
полуосью действительной оси
и радиус-вектором,
проведенным из начала координат к соответствующей точке. Аргумент не определён
для единственного числа:
.
Аргумент комплексного числа
стандартно обозначают:
или ![]()
Из геометрических соображений получается следующая формула для
нахождения аргумента:
.
Данная формула работает только в правой полуплоскости!
Пример 6
Представить в тригонометрической форме комплексные числа:
,
,
,
.

1) Представим в тригонометрической форме
число
. Найдем его модуль и аргумент.
Очевидно, что
. Формальный расчет по
формуле:
.
Очевидно, что
(число лежит
непосредственно на действительной положительной полуоси). Таким образом, число
в тригонометрической форме:
.
2) Представим в тригонометрической форме
число
. Найдем его модуль и аргумент.
Очевидно, что
. Формальный расчет по
формуле:
.
Очевидно, что
(или 90 градусов). На
чертеже угол обозначен красным цветом. Таким образом, число в
тригонометрической форме:
.
3) Представим в тригонометрической форме
число
. Найдем его модуль и аргумент.
Очевидно, что
. Формальный расчет по
формуле:
.
Очевидно, что
(или 180 градусов). На
чертеже угол обозначен синим цветом. Таким образом, число в тригонометрической
форме:
.
4) И четвёртый интересный случай.
Представим в тригонометрической форме число
. Найдем его модуль и аргумент.
Очевидно, что
. Формальный расчет по
формуле:
.
Аргумент можно записать двумя способами:
Первый способ:
(270 градусов), и,
соответственно:
.Однако более стандартно
следующее правило: Если угол больше 180 градусов, то его записывают
со знаком минус и противоположной ориентацией («прокруткой») угла:
(минус 90 градусов), на
чертеже угол отмечен зеленым цветом. Легко заметить, что
и
– это один и тот же угол.
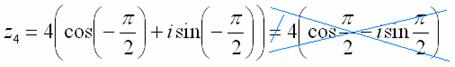
Таким образом, запись принимает вид: ![]()
Внимание! Ни в коем случае нельзя использовать
четность косинуса, нечетность синуса и проводить дальнейшее «упрощение» записи:

Итак, модуль определяется по формуле
. А вот формулы для нахождения аргумента
будут разными, это зависит от того, в какой координатной четверти лежит
число
. При этом возможны три варианта:
1) Если
(1-я и 4-я координатные
четверти, или правая полуплоскость), то аргумент нужно находить по
формуле
.
2) Если
(2-я координатная
четверть), то аргумент нужно находить по формуле
.
3) Если
(3-я координатная
четверть), то аргумент нужно находить по формуле
.
Пример 7
Представить в тригонометрической форме комплексные
числа: ,
,
.

Представим в тригонометрической форме число
. Найдем его модуль и аргумент.
![]()
Поскольку
(случай 2), то
– вот здесь нечетностью
арктангенса воспользоваться нужно. Т.е.
– число
в тригонометрической форме.
Представим в тригонометрической форме
число
. Найдем его модуль и аргумент.
![]()
Поскольку
(случай 1), то
(минус 60 градусов).
Таким образом:
– число
в тригонометрической форме.