Глава 7. Методы
определения активности антиоксидантных ферментов
Еще более
важную роль АОЗ играют антиоксидантные ферменты. Обычно выделяют три линии
защиты: 1) супероксиддисмутаза, 2) селеновая глутатионпероксидаза (ГПО) и каталаза, 3) ГПО и глутатионтрансферазы, а также недавно обнаруженная фосфолипидгидропероксид-ГПО (Фл-ГПО).
СОД (КФ
1.15.1.1) катализирует реакцию образования перекиси водорода из супероксидного радикала. При этом в отличие от спонтанной дисмутации О2
, образуются перекись водорода и кислород:
О2
+ О2
+ 2Н+→О2 + Н2О2.
В катализируемой СОД
реакции дисмутации продуктом является триплетный
кислород, а не возбужденный синглетный, как при спонтанной дисмутации. СОД –
чрезвычайно активный фермент: число ее оборотов (kcat) – одно из самых высоких для
ферментов – порядка 106 с–1, а константа скорости (kcat/Km) >108 M–1с–1 V1, следовательно, она должна практически немедленно устранять
образующийся О2
до ничтожно низкого стационарного уровня. По ряду
имеющихся оценок стационарный уровень О2
в клетках и тканях, несмотря на наличие многих и достаточно
интенсивных источников его генерации, чрезвычайно низок – порядка 10–10–10–
Супероксиддисмутаза клеток высших животных и человека
состоит из двух субъединиц, содержащих один атом меди и один атом цинка. Эта
форма СОД получила название Cu, Zn-СОД. Она представляет собой димер
с молекулярной массой 32000 дальтон, встречающийся во всех клетках эукариот
(табл. 6). Считается, что атом меди обеспечивает каталитическую активность
фермента, а атом цинка придает ему стабильность. Cu, Zn-СОД у человека и высших животных –
это главным образом внутриклеточный фермент. В клетках Cu, Zn СОД локализована
преимущественно в цитозоле и в межмембранном
пространстве митохондрий.
В межклеточном
пространстве обнаружена высокомолекулярная
внеклеточная (экстрацелюлярная) СОД, обозначаемая как
экта-СОД (ECSOD), состоящая из 4-х субъединиц. Этот Cu, Zn-содержащий гликопротеин является
главной изоформой межклеточных жидкостей – плазмы,
лимфы, синовиальной жидкости (и в небольших количествах обнаруживается почти во
всех тканях).
Таблица 6. Супероксиддисмутазы
и их локализация в клетке
|
Форма фермента |
Молекулярная масса, Д |
Количество субъединиц |
Локализация |
|
Прокариоты |
|||
|
Mn-СОД |
40000 80000 |
2 4 |
матрикс |
|
Fe-СОД |
40000 |
2
|
наружная мембрана |
|
Эукариоты |
|||
|
Mn-СОД |
88000 |
4 |
матрикс митохондрий |
|
Cu, Zn-СОД |
32000 |
2 |
цитоплазма, ядро, межмембранное пространство митохондрий,
лизосомы |
|
EC-СОД |
135000 |
4 |
внеклеточное пространство |
|
ECMn-СОД |
150000 |
2,4 |
плазматическая мембрана |
Кроме Cu, Zn-СОД существует супероксиддисмутаза,
содержащая ион марганца. Mn-СОД обнаружена и у прокариот, и у
эукариот.
Показано, что у высших животных Mn-СОД присутствует в матриксе
митохондрий, где участвует в дисмутации супероксид-аниона, образующегося в результате
функционирования системы тканевого дыхания. Описана также железосодержащая
форма СОД (Fe-СОД), которая имеется у прокариот и содержится
в растительных клетках.
В организме
человека наиболее высокий уровень активности СОД отмечается в печени, в
некоторых областях мозга, в тестикулах. Напротив,
низкая активность СОД характерна для эритроцитов, щитовидной и поджелудочной
желез, а также легких. В различных отделах мозга у крыс активность СОД
значительно колеблется. В коре, полосатом теле, гиппокампе
и мозжечке активность значительно меньше, чем в гипоталамусе, среднем и
промежуточном мозге.
Регуляция
активности СОД осуществляется по принципу обратной связи. Избыточная продукция
Н2О2 приводит к угнетению активности СОД.
Каталаза (КФ 1.11.1.6). Следующим ферментом,
стоящим на пути превращений АФК, является каталаза. Она превращает Н2О2
в кислород и воду.

Рис. 16. Схематическое изображение активного центра
каталазы
Каталаза – это тетрамер,
состоящий из 4-х идентичных субъединиц. Каждый мономер содержит гемовую
группу и НАДФН. НАДФН располагается на поверхности, в то же время гем располагается в углублении каждого мономера. НАДФН
защищает фермент от окисления своим субстратом Н2О2.
Доступ к гему активного центра осуществляется через
воронкообразный канал глубиной 30 Å и шириной 15 Å (рис.
16).
У эукариот
каталаза локализована преимущественно в пероксисомах,
где находятся также перекисьгенерирующие ферменты – глюкозооксидаза, уратоксидаза, флавопротеиндегирогеназы. К ферментам, обеспечивающим
образование перекиси водорода, помимо пероксисомальных
ферментов, относятся также митохондриальные и микросомные системы транспорта электронов. Каталаза содержится в печени, почках, мышцах, головном мозгу,
костном мозгу, эритроцитах, легких, сердечной мышце, спинномозговой жидкости,
ее активность также определяется в моче. Наибольшая активность каталазы
отмечается в печени и эритроцитах. Так, содержание каталазы в гепатоцитах составляет 22 нмоль/г
печени. Меньше ее активность в мозгу, сердце, скелетных мышцах, поджелудочной
железе, легких (табл. 7).
Таблица 7. Активность каталазы в тканях человека.
Результаты выражены как активность фермента на мг белка
|
Ткань |
Активность каталазы (мг–1 белка) |
|
Печень |
1300–1500 |
|
Эритроциты |
990–1300 |
|
Кора почек |
430–110 |
|
Надпочечники |
300 |
|
Селезенка |
56 |
|
Поджелудочная железа |
100 |
|
Легкие |
180–210 |
|
Сердце |
54 |
|
Скелетные мышцы |
25–36 |
|
Мозг, серое вещество |
3–11 |
|
Мозг, белое вещество |
20–25 |
|
Жировая ткань |
270–560 |
Каталаза
обладает бифункциональной активностью, т. е. может разлагать перекись водорода
двумя различными путями. В первом случае фермент разлагает Н2О2
до воды и триплетного кислорода (каталазное
действие):
CAT
2Н2О2 2Н2О
+ О2.
Реакция идет в две стадии:
H2O2
+ Fe(III)–CAT → H2O + O = Fe (V)-CAT
(k1 = 1,7×107 M–1с–1)
H2O2
+ O = Fe(V)–CAT → Fe(III)-CAT + H2O +
O2
(k2 = 2,6×107 M–1с–1),
где III и V показывают формальное окислительное
состояние Fe; CAT – каталаза.
В этой
реакции Fe(III)-CAT представляет молекулы нативного фермента, O = Fe(V)-CAT – каталазный
комплекс 1.
Во втором
случае – катализирует окисление перекисью водорода различных эндогенных и
экзогенных субстратов, например, этанола, метанола, формиата и др. (пероксидазное действие):
CAT
Н2О2 + SH2 2Н2О +
S.

(k3 = 0,2–1×103 M–1с–1).
Каталазное
действие регистрируется при относительно высокой концентрации Н2О2,
пероксидазное – при более низких уровнях содержания
перекиси водорода в клетке.
Общая схема
химии каталазных реакций на рис. 17.
Каталаза
также действует, как регуляторный белок, связывая НАДФН и высвобождая его,
когда клетка находится в условиях окислительного стресса. Высвобождение НАДФН
из комплекса с каталазой активирует глутатионредуктазу
и стимулирует функционирование глутатионпероксидазы с
удалением Н2О2.

Рис. 17.
Предполагаемый механизм реакций каталазного комплекса
1. Два цикла каталазы: верхняя часть соответствует каталитическому циклу, а
нижняя часть – пероксидазному циклу. Формирование
комплекса 1 при взаимодействии с пероксидом указано в середине диаграммы
Глутатионпероксидаза – тетрамер, каждая из четырех субъединиц которого
содержит селено-цистеин. ГПО в основном локализована в
цитозоле – 70 %, а также в матриксе митохондрий – 30
%. В настоящее время известно пять изоформ селенсодержащей ГПО. У млекопитающих ГПО содержится
практически во всех органах. Особенно велика ее активность в печени, почках,
тканях глаза, эритроцитах, сердце. Наибольшая активность отмечается в печени.
ГПО,
используя восстановленную форму глутатиона в качестве субстрата, эффективно расщепляет не только
перекись водорода, но и органические гидроперекисные
соединения (перекисей белкового и нуклеинового происхождения, перекисей
холестерина, стероидов, витамина К, простагландинов),
включая гидроперекиси полиненасыщенных жирных кислот.
В настоящее
время выделен изофермент селенсодержащей ГПО,
названный «ГПО гидроперекисей фосфолипидов» или фосфолипидгидропероксид
ГПО (КФ 1.11.1.12), который по своей структуре является мономером с
молекулярной массой 22 кД и содержит один атом
селена, связанного с цистеиновым остатком
белка. Этот изофермент, в отличие от классической ГПО, может
восстанавливать гидроперекиси фосфолипидов без предварительного их гидролиза.
Благодаря совместному действию с токоферолом, ГПО гидроперекисей фосфолипидов
обеспечивает эффективное разрушение продуктов ПОЛ в клеточных мембранах.
Глутатионредуктаза (КФ 1.6.4.2).
Деятельность ГПО неразрывно связана с работой другого фермента – глутатионредуктазы, которая катализирует реакцию
восстановления окисленного глутатиона с помощью
восстановленного НАДФН: GS–SG + НАДФН + H+ → 2GSH + НАДФ+.
Глутатионредуктаза – цитоплазматический фермент, распределен в тканях подобно глутатионпероксидазе, с которой
функционально связан. Действие глутатионредуктазы
зависит от уровня НАДФН и, следовательно, от состояния пентозофосфатного цикла
и активности ее ключевого фермента глюкозо-6-фосфатдегидрогеназы.
Система тиоредоксина. Система тиоредоксина
состоит из двух антиоксидантных ферментов – тиоредоксина
(Trx) и тиоредоксинредуктазы (TrxR). Тиоредоксинредуктаза,
используя НАДФН, катализирует восстановление дисульфидной
связи в активном центре тиоредоксина. Восстановленный
тиоредоксин, наряду с другими функциями, выполняет
основную роль в восстановлении белковых дисульфидов (рис. 18).

Рис. 18.
Ферментативные реакции, в которых участвует тиоредоксиновая
система. Тиоредоксин редуктаза
(TrxR) восстанавливает дисульфидную
связь в активном центре тиоредоксина (Trx) и других субстратов, напрямую используя НАДФН. Восстановленный тиоредоксин в
высокой степени эффективен в восстановлении дисульфидов в белках и пептидах,
включая пероксиредоксины (Prx) и окисленный глутатион
Тиоредоксины
являются белками с оксидоредуктазной активностью и
широко распространены в клетках как у млекопитающих,
так и у прокариот. Известны три изоформы тиоредоксина: классический тиоредоксин с молекулярной массой 12 кД
(Trx-1), локализованная в митохондриях изоформа
Trx-2 и экспрессируемая в
сперматозоидах форма SpTrx. Все тиоредоксины
содержат в активном центре последовательность Цис-Гли-Про-Цис, необходимую для
осуществления дисульфидредуктазной функции. Тиоредоксин участвует в восстановлении дисульфидных
связей в таких белках, как рибонуклеотидредуктаза и
ряд транскрипционных факторов (p53, NF-kB, AP-1). Тиоредоксин
является специфическим донором электронов для множества пероксиредоксинов
(редоксинпероксидаз), что очень важно для
восстановления пероксидов. Кроме того, восстановленный тиоредоксин
предотвращает апоптоз путем ингибирования связывания апоптоз сигнал регулируемой киназы 1 (ASK-1).
Экспрессия тиоредоксина индуцируется окислительным стрессом; промотор тиоредоксина содержит антиоксидант респонсивный
элемент. Повышенная экспрессия тиоредоксина при этом
направлена на ускорение восстановления внутриклеточных белков и других биомолекул как часть антиоксидантной защиты.
Тиоредоксинредуктаза является НАДФН-зависимой оксидоредуктазой
(гомодимер), содержащей по одной молекуле ФАД на
каждую субъединицу. Фермент участвует в восстановлении дисульфидной
связи в активном центре окисленного тиоредоксина.
Тиоредоксинредуктаза содержит селен в форме селеноцистеина,
играющего важную роль в ферментативной активности. Тиоредоксинредуктаза
имеет широкую субстратную специфичность и прямо восстанавливает белковые
дисульфиды и многие низкомолекулярные дисульфиды. Пероксиды, включая гидропероксиды липидов и пероксид водорода, могут быть
прямо восстановлены тиоредоксинредуктазой.
Этот механизм может функционировать как альтернативный ферментативный путь детоксикации липидных гидропероксидов, осуществляемый также фосфолипидгидропероксид
ГПО. На рис. 19 показаны некоторые физиологические субстраты и функции тиоредоксинредуктазы и тиредоксиновой
системы в целом.

Рис. 19.
Схематическое изображение основных физиологических функций системы тиоредоксина: TrxR – тиоредоксинредуктаза;
TrxS2 и Trx(SH)2 – тиоредоксин
окисленный и восстановленный. Prxок и Prxвос – пероксиредоксин окисленный и восстановленный; PDI-S PDI-(SH)2 – протеиндисульфидизомераза окисленная и восстановленная; GSH GSSG – глутатион
восстановленный и окисленный; GPxок и GPxвос – глутатионпероксидаза окисленная
и восстановленная (Nordberg, Arner, 2001)
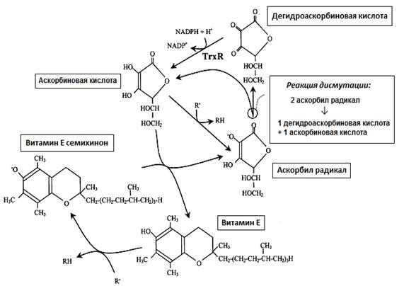
Установлено,
что система тиоредоксина в эритроцитах в некоторых
случаях может функционировать как восстановитель дегидроаскорбата
и радикалов аскорбата. Учитывая тот факт, что
аскорбиновая кислота участвует в рециклизации
α-токоферола (см. выше) и что тиоредоксинредуктаза
млекопитающих восстанавливает дегидроаскорбат, тиоредоксинредуктаза может играть важную роль в общей
антиоксидантной функции витамина Е (рис. 20).

Рис. 20. Взаимодействие между различными формами
витамина С и Е и тиоредоксинредуктазой
(TrxR)
Витамин Е является главным антиоксидантом биологических мембран и
может взаимодействовать со свободными радикалами, формируя семихинон
витамина Е, который может быть восстановлен аскорбиновой кислотой. В этой
реакции образуются свободные радикалы аскорбата, два
из них могут спонтанно дисмутировать, образуя одну
молекулу аскорбиновой кислоты и одну молекулу дигидроаскорбиновой
кислоты. Тиоредоксинредуктаза может последнюю эффективно восстановить до аскорбиновой кислоты.
Литература
1.
Бобырев В.Н., Почерняева В.Ф., Стародубцев С.Г., Бобырева Л.Е., Дубинская Г.М., Воскресенский О.Н. Специфичность системы
антиоксидантной защиты органов и тканей – основа дифференцированной
фармакотерапии антиоксидантами // Эксперим. и клинич. фармакол. – 1994. – Т.
57, № 1. – С. 47–54.
2.
Калинина Е.В., Чернов Н.Н., Саприн А.Н. Участие тио-, перокси- и глутаредоксинов в клеточных редокс-зависимых процессах // Успехи биол. химии. – 2008. –
Т. 48. – С. 319–358.
3.
Fridovich I. Oxygen toxicity: a radical explanation // J. Exp.
Biol. – 1998. – V. 201. – P. 1203–1209.
4.
Hayes
J.D., Flanagan J.U., Jowsey I.R. Glutathione transferases // Ann. Rev. Pharmacol. Toxicol. – 2005. – V.
45. – P. 51–88.
5.
Mustacich D., Powis G. Thioredoxin reductase
// Biochem. J. – 2000. – V. 346. – P. 1–8.
6.
Nordberg
J., Arner E.S. Reactie oxygen species, antioxidants and the mammalian thioredoxin system // Free Rad. Biol. Med. – 2001. – V. 31.
– P. 1287–1312.
7.
Young
I.S., Woodside J.V. Antioxidants in helth
and disease // J. Clin. Pathol.
– 2001. – V. 54. – P. 178–186.
8.
Zelko
I.N., Mariani T.J., Folz
R.J. Superoxide dismutase multigene
family: a comparison of the Cu,Zn-SOD (SOD1), Mn-SOD (SOD2), and EC-SOD (SOD3) gene structures,
evolution, and expression // Free Radic Biol. Med. –
2002. – V. 33. – P. 337–349.