Глава 7. Методы
определения активности антиоксидантных ферментов
Еще более
важную роль АОЗ играют антиоксидантные ферменты. Обычно выделяют три линии
защиты: 1) супероксиддисмутаза, 2) селеновая глутатионпероксидаза (ГПО) и каталаза, 3) ГПО и глутатионтрансферазы, а также недавно обнаруженная фосфолипидгидропероксид-ГПО (Фл-ГПО).
СОД (КФ
1.15.1.1) катализирует реакцию образования перекиси водорода из супероксидного радикала. При этом в отличие от спонтанной дисмутации О2
, образуются перекись водорода и кислород:
О2
+ О2
+ 2Н+→О2 + Н2О2.
В катализируемой СОД
реакции дисмутации продуктом является триплетный
кислород, а не возбужденный синглетный, как при спонтанной дисмутации. СОД –
чрезвычайно активный фермент: число ее оборотов (kcat) – одно из самых высоких для
ферментов – порядка 106 с–1, а константа скорости (kcat/Km) >108 M–1с–1 V1, следовательно, она должна практически немедленно устранять
образующийся О2
до ничтожно низкого стационарного уровня. По ряду
имеющихся оценок стационарный уровень О2
в клетках и тканях, несмотря на наличие многих и достаточно
интенсивных источников его генерации, чрезвычайно низок – порядка 10–10–10–
Супероксиддисмутаза клеток высших животных и человека
состоит из двух субъединиц, содержащих один атом меди и один атом цинка. Эта
форма СОД получила название Cu, Zn-СОД. Она представляет собой димер
с молекулярной массой 32000 дальтон, встречающийся во всех клетках эукариот
(табл. 6). Считается, что атом меди обеспечивает каталитическую активность
фермента, а атом цинка придает ему стабильность. Cu, Zn-СОД у человека и высших животных –
это главным образом внутриклеточный фермент. В клетках Cu, Zn СОД локализована
преимущественно в цитозоле и в межмембранном
пространстве митохондрий.
В межклеточном
пространстве обнаружена высокомолекулярная
внеклеточная (экстрацелюлярная) СОД, обозначаемая как
экта-СОД (ECSOD), состоящая из 4-х субъединиц. Этот Cu, Zn-содержащий гликопротеин является
главной изоформой межклеточных жидкостей – плазмы,
лимфы, синовиальной жидкости (и в небольших количествах обнаруживается почти во
всех тканях).
Таблица 6. Супероксиддисмутазы
и их локализация в клетке
|
Форма фермента |
Молекулярная масса, Д |
Количество субъединиц |
Локализация |
|
Прокариоты |
|||
|
Mn-СОД |
40000 80000 |
2 4 |
матрикс |
|
Fe-СОД |
40000 |
2
|
наружная мембрана |
|
Эукариоты |
|||
|
Mn-СОД |
88000 |
4 |
матрикс митохондрий |
|
Cu, Zn-СОД |
32000 |
2 |
цитоплазма, ядро, межмембранное пространство митохондрий,
лизосомы |
|
EC-СОД |
135000 |
4 |
внеклеточное пространство |
|
ECMn-СОД |
150000 |
2,4 |
плазматическая мембрана |
Кроме Cu, Zn-СОД существует супероксиддисмутаза,
содержащая ион марганца. Mn-СОД обнаружена и у прокариот, и у
эукариот.
Показано, что у высших животных Mn-СОД присутствует в матриксе
митохондрий, где участвует в дисмутации супероксид-аниона, образующегося в результате
функционирования системы тканевого дыхания. Описана также железосодержащая
форма СОД (Fe-СОД), которая имеется у прокариот и содержится
в растительных клетках.
В организме
человека наиболее высокий уровень активности СОД отмечается в печени, в
некоторых областях мозга, в тестикулах. Напротив,
низкая активность СОД характерна для эритроцитов, щитовидной и поджелудочной
желез, а также легких. В различных отделах мозга у крыс активность СОД
значительно колеблется. В коре, полосатом теле, гиппокампе
и мозжечке активность значительно меньше, чем в гипоталамусе, среднем и
промежуточном мозге.
Регуляция
активности СОД осуществляется по принципу обратной связи. Избыточная продукция
Н2О2 приводит к угнетению активности СОД.
Каталаза (КФ 1.11.1.6). Следующим ферментом,
стоящим на пути превращений АФК, является каталаза. Она превращает Н2О2
в кислород и воду.

Рис. 16. Схематическое изображение
активного центра каталазы
Каталаза – это тетрамер,
состоящий из 4-х идентичных субъединиц. Каждый мономер содержит гемовую
группу и НАДФН. НАДФН располагается на поверхности, в то же время гем располагается в углублении каждого мономера. НАДФН
защищает фермент от окисления своим субстратом Н2О2.
Доступ к гему активного центра осуществляется через
воронкообразный канал глубиной 30 Å и шириной 15 Å (рис.
16).
У эукариот
каталаза локализована преимущественно в пероксисомах,
где находятся также перекисьгенерирующие ферменты – глюкозооксидаза, уратоксидаза, флавопротеиндегирогеназы. К ферментам, обеспечивающим
образование перекиси водорода, помимо пероксисомальных
ферментов, относятся также митохондриальные и микросомные системы транспорта электронов. Каталаза содержится в печени, почках, мышцах, головном мозгу,
костном мозгу, эритроцитах, легких, сердечной мышце, спинномозговой жидкости,
ее активность также определяется в моче. Наибольшая активность каталазы
отмечается в печени и эритроцитах. Так, содержание каталазы в гепатоцитах составляет 22 нмоль/г
печени. Меньше ее активность в мозгу, сердце, скелетных мышцах, поджелудочной
железе, легких (табл. 7).
Таблица 7. Активность каталазы в тканях человека.
Результаты выражены как активность фермента на мг белка
|
Ткань |
Активность каталазы (мг–1 белка) |
|
Печень |
1300–1500 |
|
Эритроциты |
990–1300 |
|
Кора почек |
430–110 |
|
Надпочечники |
300 |
|
Селезенка |
56 |
|
Поджелудочная железа |
100 |
|
Легкие |
180–210 |
|
Сердце |
54 |
|
Скелетные мышцы |
25–36 |
|
Мозг, серое вещество |
3–11 |
|
Мозг, белое вещество |
20–25 |
|
Жировая ткань |
270–560 |
Каталаза
обладает бифункциональной активностью, т. е. может разлагать перекись водорода
двумя различными путями. В первом случае фермент разлагает Н2О2
до воды и триплетного кислорода (каталазное
действие):
CAT
2Н2О2 2Н2О
+ О2.
Реакция идет в две стадии:
H2O2
+ Fe(III)–CAT → H2O + O = Fe (V)-CAT
(k1 = 1,7×107 M–1с–1)
H2O2
+ O = Fe(V)–CAT → Fe(III)-CAT + H2O +
O2
(k2 = 2,6×107 M–1с–1),
где III и V показывают формальное окислительное
состояние Fe; CAT – каталаза.
В этой
реакции Fe(III)-CAT представляет молекулы нативного фермента, O = Fe(V)-CAT – каталазный
комплекс 1.
Во втором
случае – катализирует окисление перекисью водорода различных эндогенных и
экзогенных субстратов, например, этанола, метанола, формиата и др. (пероксидазное действие):
CAT
Н2О2 + SH2 2Н2О +
S.

(k3 = 0,2–1×103 M–1с–1).
Каталазное
действие регистрируется при относительно высокой концентрации Н2О2,
пероксидазное – при более низких уровнях содержания
перекиси водорода в клетке.
Общая схема
химии каталазных реакций на рис. 17.
Каталаза
также действует, как регуляторный белок, связывая НАДФН и высвобождая его,
когда клетка находится в условиях окислительного стресса. Высвобождение НАДФН
из комплекса с каталазой активирует глутатионредуктазу
и стимулирует функционирование глутатионпероксидазы с
удалением Н2О2.

Рис. 17.
Предполагаемый механизм реакций каталазного комплекса
1. Два цикла каталазы: верхняя часть соответствует каталитическому циклу, а
нижняя часть – пероксидазному циклу. Формирование
комплекса 1 при взаимодействии с пероксидом указано в середине диаграммы
Глутатионпероксидаза – тетрамер, каждая из четырех субъединиц которого
содержит селено-цистеин. ГПО в основном локализована в
цитозоле – 70 %, а также в матриксе митохондрий – 30
%. В настоящее время известно пять изоформ селенсодержащей ГПО. У млекопитающих ГПО содержится
практически во всех органах. Особенно велика ее активность в печени, почках,
тканях глаза, эритроцитах, сердце. Наибольшая активность отмечается в печени.
ГПО,
используя восстановленную форму глутатиона в качестве субстрата, эффективно расщепляет не только
перекись водорода, но и органические гидроперекисные
соединения (перекисей белкового и нуклеинового происхождения, перекисей
холестерина, стероидов, витамина К, простагландинов),
включая гидроперекиси полиненасыщенных жирных кислот.
В настоящее
время выделен изофермент селенсодержащей ГПО,
названный «ГПО гидроперекисей фосфолипидов» или фосфолипидгидропероксид
ГПО (КФ 1.11.1.12), который по своей структуре является мономером с
молекулярной массой 22 кД и содержит один атом
селена, связанного с цистеиновым остатком
белка. Этот изофермент, в отличие от классической ГПО, может
восстанавливать гидроперекиси фосфолипидов без предварительного их гидролиза.
Благодаря совместному действию с токоферолом, ГПО гидроперекисей фосфолипидов
обеспечивает эффективное разрушение продуктов ПОЛ в клеточных мембранах.
Глутатионредуктаза (КФ 1.6.4.2).
Деятельность ГПО неразрывно связана с работой другого фермента – глутатионредуктазы, которая катализирует реакцию
восстановления окисленного глутатиона с помощью
восстановленного НАДФН: GS–SG + НАДФН + H+ → 2GSH + НАДФ+.
Глутатионредуктаза – цитоплазматический фермент, распределен в тканях подобно глутатионпероксидазе, с которой
функционально связан. Действие глутатионредуктазы
зависит от уровня НАДФН и, следовательно, от состояния пентозофосфатного цикла
и активности ее ключевого фермента глюкозо-6-фосфатдегидрогеназы.
Система тиоредоксина. Система тиоредоксина
состоит из двух антиоксидантных ферментов – тиоредоксина
(Trx) и тиоредоксинредуктазы (TrxR). Тиоредоксинредуктаза,
используя НАДФН, катализирует восстановление дисульфидной
связи в активном центре тиоредоксина. Восстановленный
тиоредоксин, наряду с другими функциями, выполняет
основную роль в восстановлении белковых дисульфидов (рис. 18).

Рис. 18.
Ферментативные реакции, в которых участвует тиоредоксиновая
система. Тиоредоксин редуктаза
(TrxR) восстанавливает дисульфидную
связь в активном центре тиоредоксина (Trx) и других субстратов, напрямую используя НАДФН. Восстановленный тиоредоксин в
высокой степени эффективен в восстановлении дисульфидов в белках и пептидах,
включая пероксиредоксины (Prx) и окисленный глутатион
Тиоредоксины
являются белками с оксидоредуктазной активностью и
широко распространены в клетках как у млекопитающих,
так и у прокариот. Известны три изоформы тиоредоксина: классический тиоредоксин с молекулярной массой 12 кД
(Trx-1), локализованная в митохондриях изоформа
Trx-2 и экспрессируемая в
сперматозоидах форма SpTrx. Все тиоредоксины
содержат в активном центре последовательность Цис-Гли-Про-Цис, необходимую для
осуществления дисульфидредуктазной функции. Тиоредоксин участвует в восстановлении дисульфидных
связей в таких белках, как рибонуклеотидредуктаза и
ряд транскрипционных факторов (p53, NF-kB, AP-1). Тиоредоксин
является специфическим донором электронов для множества пероксиредоксинов
(редоксинпероксидаз), что очень важно для
восстановления пероксидов. Кроме того, восстановленный тиоредоксин
предотвращает апоптоз путем ингибирования связывания апоптоз сигнал регулируемой киназы 1 (ASK-1).
Экспрессия тиоредоксина индуцируется окислительным стрессом; промотор тиоредоксина содержит антиоксидант респонсивный
элемент. Повышенная экспрессия тиоредоксина при этом
направлена на ускорение восстановления внутриклеточных белков и других биомолекул как часть антиоксидантной защиты.
Тиоредоксинредуктаза является НАДФН-зависимой оксидоредуктазой
(гомодимер), содержащей по одной молекуле ФАД на
каждую субъединицу. Фермент участвует в восстановлении дисульфидной
связи в активном центре окисленного тиоредоксина.
Тиоредоксинредуктаза содержит селен в форме селеноцистеина,
играющего важную роль в ферментативной активности. Тиоредоксинредуктаза
имеет широкую субстратную специфичность и прямо восстанавливает белковые
дисульфиды и многие низкомолекулярные дисульфиды. Пероксиды, включая гидропероксиды липидов и пероксид водорода, могут быть
прямо восстановлены тиоредоксинредуктазой.
Этот механизм может функционировать как альтернативный ферментативный путь детоксикации липидных гидропероксидов, осуществляемый также фосфолипидгидропероксид
ГПО. На рис. 19 показаны некоторые физиологические субстраты и функции тиоредоксинредуктазы и тиредоксиновой
системы в целом.

Рис. 19.
Схематическое изображение основных физиологических функций системы тиоредоксина: TrxR – тиоредоксинредуктаза;
TrxS2 и Trx(SH)2 – тиоредоксин
окисленный и восстановленный. Prxок и Prxвос – пероксиредоксин окисленный и восстановленный; PDI-S PDI-(SH)2 – протеиндисульфидизомераза окисленная и восстановленная; GSH GSSG – глутатион
восстановленный и окисленный; GPxок и GPxвос – глутатионпероксидаза окисленная
и восстановленная (Nordberg, Arner, 2001)
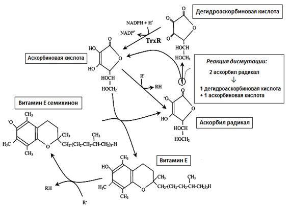
Установлено,
что система тиоредоксина в эритроцитах в некоторых
случаях может функционировать как восстановитель дегидроаскорбата
и радикалов аскорбата. Учитывая тот факт, что
аскорбиновая кислота участвует в рециклизации
α-токоферола (см. выше) и что тиоредоксинредуктаза
млекопитающих восстанавливает дегидроаскорбат, тиоредоксинредуктаза может играть важную роль в общей
антиоксидантной функции витамина Е (рис. 20).

Рис. 20.
Взаимодействие между различными формами витамина С и Е
и тиоредоксинредуктазой (TrxR)
Витамин Е является главным антиоксидантом биологических мембран и
может взаимодействовать со свободными радикалами, формируя семихинон
витамина Е, который может быть восстановлен аскорбиновой кислотой. В этой
реакции образуются свободные радикалы аскорбата, два
из них могут спонтанно дисмутировать, образуя одну
молекулу аскорбиновой кислоты и одну молекулу дигидроаскорбиновой
кислоты. Тиоредоксинредуктаза может последнюю эффективно восстановить до аскорбиновой кислоты.
Литература
1.
Бобырев В.Н., Почерняева В.Ф., Стародубцев С.Г., Бобырева Л.Е., Дубинская Г.М., Воскресенский О.Н. Специфичность системы
антиоксидантной защиты органов и тканей – основа дифференцированной
фармакотерапии антиоксидантами // Эксперим. и клинич. фармакол. – 1994. – Т.
57, № 1. – С. 47–54.
2.
Калинина Е.В., Чернов Н.Н., Саприн А.Н. Участие тио-, перокси- и глутаредоксинов в клеточных редокс-зависимых процессах // Успехи биол. химии. – 2008. –
Т. 48. – С. 319–358.
3.
Fridovich I. Oxygen toxicity: a radical explanation // J. Exp.
Biol. – 1998. – V. 201. – P. 1203–1209.
4.
Hayes
J.D., Flanagan J.U., Jowsey I.R. Glutathione transferases // Ann. Rev. Pharmacol. Toxicol. – 2005. – V.
45. – P. 51–88.
5.
Mustacich D., Powis G. Thioredoxin reductase
// Biochem. J. – 2000. – V. 346. – P. 1–8.
6.
Nordberg
J., Arner E.S. Reactie oxygen species, antioxidants and the mammalian thioredoxin system // Free Rad. Biol. Med. – 2001. – V. 31.
– P. 1287–1312.
7.
Young
I.S., Woodside J.V. Antioxidants in helth
and disease // J. Clin. Pathol.
– 2001. – V. 54. – P. 178–186.
8.
Zelko
I.N., Mariani T.J., Folz
R.J. Superoxide dismutase multigene
family: a comparison of the Cu,Zn-SOD (SOD1), Mn-SOD (SOD2), and EC-SOD (SOD3) gene structures,
evolution, and expression // Free Radic Biol. Med. –
2002. – V. 33. – P. 337–349.
7.2. Определение активности супероксиддисмутазы
7.2.1. Определение активности супероксиддисмутазы в эритроцитах
Принцип метода. Метод основан на способности СОД ингибировать процесс восстановления тетразолиевого
нитросинего (ТНС) в условиях генерации супероксидного анион-радикала.
Отбор проб и их хранение. Кровь собирают в пробирку с
гепарином (200 ед./мл) и центрифугируют при 3000 об./мин в течение 10 мин. Плазму отбирают и хранят на холоде, а
эритроциты трижды отмывают физраствором. Отмытые
эритроциты гемолизируют. Для этого к 0,3 мл
упакованных эритроцитов с помощью пипетки сильной струей приливают 2,7 мл охлажденной бидистиллированной
воды. Суспензию периодически встряхивают в течение 5 мин, а затем
центрифугируют при 14000 об./мин
в течение 20 мин для осаждения стром клеток. Полученный 10 %-ный гемолизат разбавляют до 1 %
(0,1 мл гемолизата + 0,9 мл воды). Из разбавленного гемолизата отбирают аликвоту для
анализа содержания гемоглобина.
Оборудование. Центрифуга с охлаждением, магнитная мешалка, термостат.
Реактивы и их приготовление. При приготовлении реактивов
используют бидистиллированную воду.
1.
2.
3.
4. 26,9 мкМ раствор ЭДТА. 10 мг динатриевой
соли ЭДТА растворяют в 100 мл воды. Перед работой исходный раствор разбавляют в
10 раз.
5. 4,04 мМ раствор тетразолиевого нитросинего. 33 мг ТНС растворяют в 10 мл фосфатного
буфера. Готовят перед опытом, хранят в темноте на холоде.
6. 65 мкМ раствор феназинметасульфата
(ФМС). 2 мг реактива растворяют в 100 мл фосфатного буфера. Хранят в темноте не
более недели. В замороженном состоянии в темноте хранится несколько месяцев.
7. 1 мМ раствор НАД·Н. 7,63 мг реактива растворяют в 10 мл
фосфатного буфера. Готовят перед опытом и хранят на холоде.
8. 0,9 %-ный раствор хлорида натрия.
9. 96 %-ный этиловый спирт.
10. Желатин.
11. Реактивы
для определения гемоглобина аммиачным методом.
12. Реактивы
для определения белка по методу Лоури.
Необходимо
предварительно определить содержание НАДН в сухих коммерческих препаратах
реактива по методу Butler. С этой целью вначале измеряют оптическую плотность раствора
трис-ЭДТА без НАДН, а затем добавляют раствор НАДН,
содержащий 2 мг НАДН в 1 мл трис-ЭДТА буфера, и снова
регистрируют оптическую плотность раствора при длине волны 340 нм. Концентрацию НАДН в мМ
рассчитывают по формуле
,
где Ео – оптическая плотность с НАДН; Ек –
оптическая плотность трис-ЭДТА буфера; 0,311 –
коэффициент молярной экстинкции НАДН.
Ход определения. Для осаждения гемоглобина и частичной очистки СОД к 1
мл 1 %-ного гемолизата
добавляют 0,3 мл 96 %-ного этанола и 0,15 мл
хлороформа. Смесь перемешивают на магнитной мешалке на холоде 15 мин, затем
столько же времени оставляют на холоде, время от времени встряхивая. Хлороформ-этаноловую
смесь центрифугируют при 10000 об./мин
в течение 15 мин. Отбирают верхний слой и используют в качестве источника
фермента. Супернатант должен быть прозрачным или
слегка опалесцирующим, без желтого оттенка.
Непосредственно
перед определением активности фермента готовят инкубационную смесь следующего
состава: 1 мл 26,9 мкМ ЭДТА, 1 мл 4,04 мМ ТНС, 1 мл 65 мкМ ФМС, 1 мг
желатина, 26 мл 0,067 М фосфатного буфера (pH 7,8).
В пробирки разливают по 2,85 мл (в случае плазмы 2,7 мл) инкубационной
смеси и прогревают их 5 мин при 25°С. Затем в
инкубационную смесь добавляют по 0,05 мл супернатанта
гемолизата (0,2–0,3 мл супернатанта
плазмы) и 0,1 мл 1 мМ НАДН. В контрольную пробу
вместо супернатанта вносят 0,1 мл фосфатного буфера.
Инкубацию проводят в течение 10 мин в термостате при 25 °С
в аэробных условиях в темноте. Реакцию останавливают освещением проб.
Оптическую плотность проб измеряют при длине волны 540 нм
в кювете с шириной оптического пути 5 мМ против
смеси, содержащей все
компоненты инкубационной смеси, кроме НАДН.
Расчет
активности фермента проводят следующим образом. Вначале определяют процент
ингибирования восстановления ТНС (Т, %) за счет СОД по отношению к контрольной пробе по
формуле
,
где Ек
и Еоп
– экстинкции контрольной и опытной проб.
Колебания
степени ингибирования ферментативной реакции должны находиться в пределах от 30
до 70 %. Если процент ингибирования за счет СОД выходит за указанные
ограничения, необходимо изменять количество вносимого в инкубационную смесь
фермента.
За одну
условную единицу активности СОД принимают 50-процентное торможение процесса
восстановления ТНС за время инкубации.
Активность
фермента выражают в условных единицах на мг гемоглобина (мг белка, мл
плазмы):
а) гемолизат:
,
где 20 –
кратность разведения гемолизата; С – концентрация
гемоглобина (мг) в 1 мл 1 %-ного гемолизата;
б) плазма:
,
где С – концентрация
белка (мг) в пробе или эквивалентное количество плазмы (мл) в пробе.
7.2.2. Определение активности супероксиддисмутазы в мозге
Отбор проб и их хранение. Крыс забивают
декапитацией. Извлекают головной мозг и на холоде отделяют кору больших
полушарий. Из мозга готовят 10 %-ный (
Оборудование. Центрифуга с охлаждением,
гомогенизатор с тефлоновым пестиком, магнитная мешалка, термостат, колориметр
КФК-3.
Реактивы и их приготовление (см. методику
определения активности СОД в эритроцитах).
Ход определения. Для частичной
очистки СОД и осаждения балластных белков к 1 мл полученного супернатанта добавляют 0,25 мл 96 %-ного
этанола и 0,15 мл хлороформа. Смесь перемешивают 15 мин на магнитной мешалке на
холоде. По истечении времени эту смесь на 20 мин оставляют на холоде (0–2°С),
время от времени встряхивая. Пробы перемешивают и центрифугируют при 10000 об./мин в течение 15 мин. Верхний
слой отбирают и используют в качестве источника фермента.
Непосредственно перед определением активности фермента готовят
инкубационную смесь следующего состава: 1 мл 26,9 мкМ
ЭДТА, 1 мл 4,04 мкМ ТНС, 1 мл 65 мкМ
ФМС, 1 мг желатина, 26 мл 0,067 М фосфатного буфера (рН 7,8).
В пробирки
разливают по 2,8 мл инкубационной смеси и выдерживают их 5 мин при 25 °С. Затем в опытные пробы вносят 0,1 мл супернатанта
и 0,1 мл 1 мМ НАДН. В контрольную пробу вместо супернатанта вносят 0,1 мл фосфатного буфера. Инкубацию
проводят в течение 10 мин в термостате при 25 °С в
аэробных условиях в темноте. Реакцию останавливают освещением проб. Оптическую
плотность измеряют при длине волны 540 нм в кювете с
шириной оптического пути 5 мм против смеси, содержащей все компоненты
инкубационной среды, кроме НАДН.
Процесс
ингибирования скорости восстановления ТНС (Т, %) СОД
рассчитывается по формуле
,
где Ек – экстинкция контрольной пробы; Ео – экстинкция опытной пробы.
За условную
единицу активности СОД принимают 50%-ное
ингибирование скорости восстановления ТНС за время инкубации.
Активность
фермента выражают в условных единицах на мг белка:
Аед / мг белка =
,
где С – концентрация белка в пробе, мг.
Литература
1. Дубинина Е.Е., Ефимова Л.Ф., Софронова Л.Н., Геронимус
А.Л. Сравнительный анализ
активности супероксиддисмутазы и каталазы эритроцитов
и цельной крови у новорожденных детей при хронической гипоксии // Лаб. дело. –
1988. – № 8. – С. 16–19.
2. Fried R. Enzymatic and non-enzymatic assay of superoxide dismutase // Biochim. – 1975. – V. 57, № 5. – P. 657–660.
7.3. Определение активности каталазы
7.3.1. Определение активности каталазы в крови
Принцип метода. Об активности фермента судят по скорости
убыли перекиси водорода в среде инкубации. Концентрацию перекиси водорода
определяют по реакции с молибдатом аммония, который
дает стойкий окрашенный комплекс.
Оборудование. Центрифуга с охлаждением, магнитная
мешалка, термостат.
Реактивы и их приготовление. Все реактивы
готовят на бидистиллированной воде.
1. 0,9 %-ный раствор хлорида натрия.
2. 4 %-ный раствор молибдата аммония (х.
ч.). В воде в мерной колбе на 100 мл при нагревании
растворяют
3. 0,1 н.
раствор перманганата калия. Готовится из фиксанала.
4. 10 %-ный раствор серной кислоты. 5,99 мл 91,6 %-ной кислоты
(плотность 1,822 г/мл) разбавляют до 100 мл водой.
5. Реактивы
для определения гемоглобина аммиачным методом.
6. 0,034 %-ный раствор перекиси водорода. Готовят из пергидроля. По
мере хранения концентрация пергидроля снижается. Точную концентрацию перекиси
водорода определяют титрованием перманганатом калия.
Порядок титрования. Зная приблизительно концентрацию пергидроля (25–30 %),
готовят 1 %-ный раствор перекиси водорода. Для чего 1
мл исходной перекиси водорода доводят водой до 25 мл. Берут 1 мл разбавленной (1 %) перекиси водорода, добавляют 9 мл воды и 5 мл 10 %-ной
серной кислоты. Титруют 0,1 н. раствором перманганата калия до слабо розового
окрашивания.
Примерный пересчет. Допустим, на титрование ушло 5,8 мл перманганата калия. Вычисляют, сколько г-экв перманганата калия содержалось в 5,8 мл и
участвовало в реакции:
1 000 мл – 0,1 г-экв
5,8 мл – х г-экв
х = 0,00058.
При
титровании 1 г-экв вещества взаимодействует с 1 г-экв другого вещества. Значит, в реакции участвовало также
0,00058 г-экв перекиси водорода. Эквивалентная масса
Н2О2 равна
Учитывая
разведение, концентрация перекиси водорода в 1 мл пергидроля будет: 0,00987·25
=
Ход определения. Перед работой полученный 10 %-ный гемолизат разбавляют 25 раз
(0,1 мл гемолизата + 2,4 мл воды) и используют в
качестве источника фермента.
Инкубационная
среда включает 2 мл 0,034 %-ной перекиси водорода и 0,04–0,05 мл 0,1 %-ного гемолизата (объем гемолизата выбирают таким образом, чтобы в пробе
содержалось от 20 до 40 мкг гемоглобина). Концентрацию последнего определяют
аммиачным методом.
В пробирки
разливают по 2 мл перекиси водорода и предварительно инкубируют в течение 5 мин
при 25 °С. Затем в каждую пробирку вносят по 0,05 мл гемолизата. В контрольную пробу вместо ферментативного
препарата вносят такое же количество воды. Пробы инкубируют в
течение 2 мин при 25 °С. По истечении времени реакцию останавливают
добавлением 1 мл 4 %-ного раствора молибдата аммония.
Оптическую
плотность проб измеряют при длине волны 410 нм в
кювете с длиной оптического пути 5 мм против воды. Об активности каталазы судят
по степени уменьшения оптической плотности в опытных пробах (Ео) по
сравнению с контрольной (Ек): DЕ
= Ек – Ео.
Активность
фермента (Акат,
мкмоль Н2О2/мг Hb/мин) рассчитывают по формуле
,
где 34 – молекулярная масса перекиси
водорода; t – время протекания реакции, мин; с – концентрация гемоглобина в пробе, мг; К – коэффициент перевода значений оптической плотности в мг
перекиси водорода (рассчитывают по калибровочному графику).
Построение калибровочной кривой. Предварительно готовят 0,1 %-ный раствор перекиси водорода. Затем разбавляют его водой,
как указано ниже (табл. 8).
Таблица 8. Схема приготовления
стандартных растворов перекиси водорода
|
№ пробирки |
0,1 %-ный раствор перекиси водорода, мл |
Дистиллированная вода, мл |
Концентрация перекиси водорода в 5 мл раствора, мг |
|
1 |
0,25 |
4,75 |
0,25 |
|
2 |
0,5 |
4,50 |
0,5 |
|
3 |
1,0 |
4,0 |
1,0 |
|
4 |
1,5 |
3,5 |
1,5 |
|
5 |
2,0 |
3,0 |
2,0 |
|
6 |
2,5 |
2,5 |
2,5 |
Из каждой пробирки (№ 1–6) отбирают по 2 мл разбавленного раствора
перекиси водорода и переносят в сухие пробирки (№ 1–6). При этом содержание
перекиси водорода в пробирках будет: 0,1; 0,2; 0,4; 0,6; 0,8; 1,0 мг. Затем в
каждую пробирку вносят 1 мл 4 %-ного раствора молибдата аммония. Пробы инкубируют при 24 °С 10 мин, а затем оптическую плотность измеряют при длине
волны 410 нм против воды. По полученным данным строят
калибровочную кривую, которую используют в дальнейшем для расчета активности
каталазы.
Литература
Королюк М.А., Иванова Л.Н., Майорова И.Г., Токарев В.Е. Метод определения активности каталазы
// Лаб. дело. – 1988. – № 1. – С. 16–19.
7.3.2. Определение
активности каталазы в мозге
Принцип метода. Смотри методику определения активности каталазы в
крови.
Отбор проб и их хранение. Крыс забивают декапитацией. Вскрывают
череп, быстро извлекают головной мозг и переносят в ледяной раствор 0,9 %-ного хлорида натрия. Через 1–2 мин мозг обсушивают
фильтровальной бумагой, очищают от сосудистой оболочки и на холоде отделяют
кору больших полушарий головного мозга. Из коры больших полушарий в стеклянном
гомогенизаторе готовят 10 %-ный (
Оборудование. Низкоскоростная
центрифуга с охлаждением, центрифуга на 20 000 об./мин с охлаждением, стеклянный гомогенизатор с тефлоновым
пестиком, термостат, колориметр.
Реактивы и их приготовление.
1. 0,9 %-ный раствор хлорида натрия.
2. 4 %-ный водный раствор молибдата
аммония.
3. 0,02 %-ный раствор перекиси водорода.
4. Реактивы
для определения белка по методу Лоури.
Ход определения. Инкубационная среда для определения активности
фермента включает 0,1 мл исследуемого материала и 2 мл 0,02 %-ной перекиси
водорода.
В пробирки
разливают по 2 мл перекиси водорода, предварительно прогревают их до 25 °С. Затем в каждую пробирку вносят по 0,1 мл супернатанта. В контрольную пробирку вместо ферментативного
препарата вносят 0,1 мл бидистиллированной воды.
Пробы инкубируют в течение 10 мин при 25 °С. По истечении
времени реакцию останавливают добавлением 1 мл 4 %-ного
раствора молибдата аммония. Оптическую плотность проб
измеряют при длине волны 410 нм в кювете с длиной
оптического пути 5 мм против воды.
Об активности
каталазы судят по степени уменьшения оптической плотности в опытных пробах (Ео), по сравнению с
контрольной (Ек): DЕ = Ек
– Ео.
Активность
фермента (мкмоль Н2О2/мг
белка/мин) рассчитывают по формуле
,
где К – коэффициент пересчета единиц оптической
плотности в мг перекиси водорода, рассчитывают по калибровочному графику; М
– молекулярная масса перекиси водорода; t – время реакции, мин; С –
содержание белка в пробе, мг.
7.3.3. Спектрофотометрический метод
определения активности каталазы в эритроцитах
Каталаза
расщепляет перекись водорода, об активности фермента судят по убыли перекиси
водорода в инкубационной среде.
Реактивы и их приготовление.
1.
2. 10 мМ раствор перекись водорода. Концентрацию перекиси
водорода в растворе пергидроля определяют по методике, изложенной выше.
Ход определения. Для определения активности каталазы отмытые эритроциты гемолизируют
Инкубационная
смесь содержит 0,1 мл 0,05 М буфера трис-HCl (рН 7,4), 0,04 мл гемолизированных эритроцитов (разведение 1:2000), 1,8 мл
дистиллированной воды (контроль) и 1,8 мл 10 мМ
раствора Н2О2 (опыт). Снижение оптической плотности в
результате расщепления перекиси водорода в опытной пробе измеряют против
контроля каждые 30 с в
течение 3 мин при комнатной температуре при длине волны 230 нм.
Скорость реакции линейная в первые 3–4 мин.
При расчёте
активности используют средние значения изменения оптической плотности за каждую
минуту в течение 3 мин:
А = Еср../
0,071,
где А – количество ммоль Н2О2, разрушенной в среднем за
1 мин при добавлении в инкубационную смесь 0,04 мл гемолизата
эритроцитов (1:2 000); Еср
– среднее значение оптической плотности, рассчитанной за одну минуту; 0,071 –
коэффициент молярной экстинкции Н2О2.
Об активности
каталазы в гемолизате эритроцитов судят по убыли
перекиси водорода за 1 мин, выражают в ммоль Н2О2/мин
и относят к 1 мл эритроцитарной взвеси или 1 г
гемоглобина.
Литература
Leff J.A., Oppengard
M.A., Curiel T.J. et al. Progressive
increases in serum catalase activity in advancing human immunodeficiency virus
infection // Free Rad. Biol. Med. – 1992. – V. 13, № 2. – P. 143–149.
7.4. Определение активности глутатионпероксидазы
7.4.1. Определение активности глутатионпероксидазы в эритроцитах
с использованием гидроперекиси
третичного бутила
Принцип метода. ГПО катализирует расщепление
гидроперекиси третбутила, используя в качестве
субстрата восстановленный глутатион.
С помощью реагента Эллмана, т. е. ДТНБ, определяют
концентрацию оставшегося после реакции глутатиона.
Реактив Эллмана взаимодействует с SH-группами глутатиона,
образуя окрашенное соединение – тионитрофенильный
анион. Количество последнего прямо пропорционально количеству SH-групп, прореагировавших с
реактивом Эллмана. Об активности ГПО судят по уровню израсходованного в результате реакции восстановленного глутатиона.
Реактивы и их приготовление.
1.
2.
3. 2 мМ раствор восстановленного глутатиона,
приготовленного на
4.
Гидроперекись третичного бутила разводят 0,05 М фосфатным буфером, рН 7,4: 9 мл
трет-бутила добавляют к 5 мл фосфатного буфера.
5. 75 мМ трис-ЭДТА буфер, рН 8,5.
6. 20 %
раствор ТХУ.
7. 10 мМ реагент Эллмана,
приготовленный на метаноле.
Ход определения. Готовят 3 пробы: опытную, контрольную и стандартную.
Исходно опытная проба содержит 0,3 мл гемолизата
эритроцитов (1:100), 0,2 мл фосфатного буфера с ЭДТА (рН 7,4) и 0,1 мл 2 мМ раствора глутатиона восстановленного.
В контрольную пробу вносят 0,5 мл фосфатного буфера с ЭДТА и 0,1 мл 2 мМ раствора восстановленного глутатиона.
Стандартная проба содержит 0,5 мл фосфатного буфера с ЭДТА (рН 7,4) и 0,1 мл 2 мМ раствора глутатиона. Все три
пробы преинкубируют на водяной бане при температуре
37 °С в течение 2–3 мин. Реакцию запускают добавлением
по 0,1 мл гидроперекиси третичного бутила в опытную и контрольную пробы. После
5 мин инкубации в термостате при температуре 37 °С
реакцию останавливают 20 % раствором ТХУ, внося по 0,1 мл в каждую пробу, и
немедленно охлаждают во льду. В контрольную и стандартную пробы добавляют 0,3
мл гемолизата (1:100), перемешивают. Затем пробы
центрифугируют при
Подробный ход
анализа ферментативной реакции изложен в таблице 9.
Таблица 9. Последовательность
добавления реактивов при определении активности глутатионпероксидазы
|
Реактивы |
Опыт |
Контроль |
Стандарт |
|
Гемолизат эритроцитов (1:100) |
0,03 |
– |
– |
|
Фосфатный буфер с ЭДТА (рН 7,4) |
0,20 |
0,50 |
0,50 |
|
Глутатион восстановленный, 2 мМ раствор |
0,10 |
0,10 |
0,10 |
|
Инкубация на водяной бане при температуре 37 °С в течение 2–3 мин |
|||
|
Гидроперекись третичного бутила |
0,10 |
0,10 |
– |
|
Инкубация на водяной бане при температуре 37 °С в течение 5 мин |
|||
|
ТХУ, 20 %
раствор |
0,10 |
0,10 |
0,10 |
|
Гемолизат эритроцитов |
– |
0,30 |
0,30 |
|
Охлаждение во льду и центрифугирование в течение
10 мин при |
|||
|
Трис-ЭДТА-буфер, (рН 8,5) |
2,25 |
2,25 |
2,25 |
|
Супернатант |
0,60 |
0,60 |
0,60 |
|
Реагент Эллмана, 10 мМ раствор |
0,025 |
0,025 |
0,025 |
Измеряют
каждую пробу против Н2О при длине волны 412 нм.
Расчёт
активности осуществляют по следующей формуле:
,
где Ек, Ест, Еоп
– экстинкции соответственно контрольной, стандартной и опытной проб; N – фактор конечного разведения эритроцитарной
массы.
Активность
фермента выражают в ммолях GSH за 1 мин и относят к 1 мл эритроцитарной взвеси или
Литература
Арутюнян А.В., Дубинина Е.Е., Зыбина Н.Н. Методы оценки свободнорадикального
окисления и антиоксидантной системы организма: методические рекомендации. – СПб.: ИКФ «Фолиант», 2000. – 104 с.
7.4.2. Определение активности глутатионпероксидазы с использованием глутатионредуктазы
Принцип метода. ГПО катализирует реакцию окисления восстановленного глутатиона за счет гидроперекисей органического и
неорганического происхождения. Для реакции чаще используют гидроперекись
третичного бутила (t-бутил-гидропероксид). Скорость
реакции образования GSSG измеряют с помощью глутатионредуктазной
реакции
GSSG + НАДФН + Н+ →
2GSH + НАДФ.
Окисление НАДФН регистрируется при длине волны 340 нм.
Реактивы и их приготовление.
1.
2.
3. Глутатионредуктаза, 10 ед./мл.
4. 2 мМ НАДФН. Реактив должен быть стандартизирован по методике,
описанной выше в разделе, посвященном определению активности СОД с помощью
НАДН-ФМС-НАДН.
5. 7 мМ раствор t-бутил-гидропероксида,
готовят ежедневно.
Ход определения. В контрольную и опытную пробы приливают
по 0,2 мл трис-НС1 буфера с ЭДТА, рН 8,0, по 0,04 мл 0,1 М раствора
восстановленного глутатиона, 0,2 мл раствора глутатионредуктазы, 0,2 мл 2 мМ
раствора НАДФН, 0,02 мл гемолизата эритроцитов (1:20)
и дистиллированной воды в количестве 1,32 мл. Пробы инкубируют в течение 10 мин
при температуре 37 °С. Затем в опытную пробу приливают
0,02 мл t-бутил-гидроксипероксида. К серии опытных
проб ставят контрольную пробу, в которой отсутствует гемолизат
и t-бутил-гидроксипероксид, их замещают
соответствующим объемом дистиллированной воды. Скорость реакции зависит от количества внесенного в инкубационную смесь t-бутил-гидропероксида. Снижение оптической плотности измеряют при
длине волны 340 нм. Определяют
разницу между опытной и контрольной пробами и рассчитывают активность фермента,
используя коэффициент молярной экстинкции НАДФН, равный 6,22×10–3.
Активность
выражают в мкмолях НАДФН, отнесенных к 1 г
гемоглобина или 1 мл эритроцитарного гемолизата.
Литература
Гаврилова А.В., Хмара Н.Ф. Определение активности глутатион-пероксидазы эритроцитов при насыщающих
концентрациях субстрата // Лаб. дело – 1986. – № 12. – С. 721–724.
7.5. Определение
активности глутатионредуктазы эритроцитов
Принцип метода. Активность фермента измеряют по степени окисления НАДФН при
длине волны 340 нм. Некоторые авторы считают, что в
инкубационную смесь перед внесением окисленного глутатиона
и НАДФН необходимо добавлять ФАД, т. к. глутатионредуктаза
является флавопротеином и иногда тканевого содержания
ФАД оказывается недостаточно для протекания ферментативной реакции. Однако
можно анализировать активность фермента и без использования ФАД. Активность глутатионредуктазы, по данным Beutler (1975), составляет 10,40 ± 1,50 МЕ/г
Нb при наличии ФАД в инкубационной среде, а в отсутствие – 7,18
± 1,09 МЕ/г.
Оборудование: центрифуга MPW-340, центрифужные
весы, спектрофотометр СФ-46, кварцевые кюветы для спектрофотометра.
Реактивы и их приготовление.
1.
2. 10 мкМ раствор ФАД.
3.
4. 2 мМ НАДФН. НАДФН должен быть стандартизирован по методике,
указанной при описании определения активности СОД с использованием системы с
НАДН-ФМС-ТНС.
Ход определения. В контрольную и опытную пробы в спектрофотометрической
кювете добавляют по 0,1 мл раствора трис-HCl с ЭДТА (рН 8,0), по 0,02 мл гемолизата эритроцитов в разведении 1:20. Если реакцию
проводят с использованием ФАД, то в обе пробы приливают по 0,2 мл ФАД, а также
1,58 мл дистиллированной воды в контрольную пробу и 1,38 мл – в опытную. К
пробам без внесения ФАД приливают дистиллированную воду в количестве 1,78 мл в
контрольную пробу и 1,58 мл – в опытную. Затем в опытные пробы вносят по 0,2 мл
раствора окисленного глутатиона. Реакцию запускают
внесением во все пробы по 0,1 мл НАДФН. Оптическую плотность раствора измеряют
при длине волны 340 нм на спектрофотометре сразу
после добавления супернатанта и через 5 мин после
инкубации реакционной смеси против контрольной пробы. Активность глутатионредуктазы (А) рассчитывают по формуле
,
где ΔЕ = Е1 – Е2
– изменение величины оптической плотности реакционной смеси за 5 мин; Vпр – конечный
объем пробы (2 мл); q – фактор разведения эритроцитов; ε – молярный коэффициент поглощения
НАДФН, равный 6,22×103 л·моль–1·см–1;
Vгем – объем
добавленного гемолизата (0,1 мл); t – время инкубации реакционной смеси (5
мин).
Активность глутатионредуктазы выражают в мкмолях
превращенного НАДФН в 1 мин на 1 мл эритроцитов, либо на
Литература
1. Beutler E. Red
cell metabolism. – N. Y.,
2. Арутюнян А.В., Дубинина Е.Е., Зыбина Н.Н. Методы оценки свободнорадикального
окисления и антиоксидантной системы организма: методические рекомендации. – СПб.: ИКФ «Фолиант», 2000. – 104 с.
7.6. Определение активности глутатион-S-трансферазы
Глутатион-S-трансфераза катализирует множество
реакций детоксикации ксенобиотиков,
обмена гормонов, токсинов с участием восстановленного глутатиона.
Показано, что этот фермент может проявлять и пероксидазную
активность.
Принцип метода. Определение активности этого фермента основано на оценке
скорости ферментативного образования глутатион-S-2,4-динитробензола в реакции
восстановленного глутатиона с 1-хлор-2,4 динитробензолом.
Реактивы и их приготовление.
1.
2. 2 мМ раствор восстановленного глутатиона
на 0,1 М фосфатном буфере. Готовят в день определения.
3. Абсолютный
метанол.
4. 2 мМ раствор 1-хлор-2,4-динитробензола: 10 мг растворяют в 1
мл метанола и добавляют 23 мл 0,1 М фосфатного буфера.
Ход определения. Гемолизат эритроцитов получают разведением эритровзвеси водой в соотношении 1:10. Реакцию проводят в кювете
спектрофотометра, в которую добавляют 1,5 мл
раствора 2 мМ глутатиона и
0,1 мл гемолизата. Реакцию запускают добавлением 1,5
мл 2 мМ раствора 1-хлор-2,4-динитробензола. В
контрольную пробу вносят вместо гемолизата воду.
Измерение оптической плотности проводят при λ = 340 нм
против воды сразу же после начала реакции и через 3 мин. Расчет производят с
учетом коэффициента молярной экстинкции образующегося продукта 9,6∙103
М–1см–1, степени разведения и времени инкубации.
Результаты выражают в мкмолях·в 1 мин на
Литература
Медицинские
лабораторные технологии: справочник / под ред. А.И. Карпищенко.
– СПб: Интермедика, 1999. – Т. 2. –
С. 23–24.
7.7. Определение способности плазмы крови к расщеплению перекиси водорода
(общей, ферментативной и неферментативной)
Принцип метода. Способность нативной плазмы крови
к расщеплению Н2О2 оценивают по ее убыли в инкубационной
смеси.
Реактивы и их приготовление.
1.
2.
3.
Ход определения. Для определения общей (неферментативной + ферментативной) и неферментативной
способности плазмы к расщеплению Н2О2 готовят две
контрольные и две опытные пробы. Каждую опытную пробу сравнивают с
соответствующим контролем. Контрольная и опытная пробы № 1 содержат по 0,1 мл
0,05 М трис-НС1 буфера (рН 7,4) и по 0,02 мл нативной
плазмы. Для получения конечного объема 2,5 мл добавляют необходимое количество бидистиллированной воды. Реакцию запускают добавлением
только в опытную пробу 1,8 мл 0,1 М раствора Н2О2. После
инкубации в течение 10 мин в термостате при температуре 37 °С
сразу измеряют оптическую плотность контрольной и опытной проб при длине волны
230 нм. Сравнивая контрольную и опытную пробы,
определяют количество оставшейся после разрушения перекиси водорода, используя
коэффициент молярной экстинкции перекиси водорода, равный 0,071, и по
полученным результатам судят об общей способности плазмы крови к расщеплению
перекиси водорода.
Инкубационная
среда контрольной и опытной проб № 2 содержит, кроме 0,1 мл 0,05 М трис-НС1
буфера (рН 7,4) и 0,02 мл исследуемой нативной
плазмы, 0,4 мл 0,02 М раствора азида натрия в качестве ингибитора ферментов,
способных расщеплять Н2О2 (каталазы, пероксидазы).
Конечный объем – 2,5 мл – доводят бидистиллированной
водой. Реакцию в опытной пробе запускают
добавлением 1,8 мл раствора Н2О2. Пробы инкубируют при
температуре 37 °С в течение 10 мин, а затем немедленно
снимают показания на спектрофотометре при длине волны 230 нм.
Полученные показания прибора соответствуют неферментативной
способности плазмы к расщеплению Н2О2. Разница между
результатами опытов 1 и 2 отражает ферментативную способность плазмы к
расщеплению перекиси водорода. Параллельно проводят определение исходного
количества Н2О2 в инкубационной среде при длине волны 230
нм без добавления биологического материала.
О
ферментативной способности плазмы к расщеплению Н2О2
судят по убыли перекиси водорода за 1 мин, выражают в ммолях
Н2О2 и относят к 1 мл плазмы или к 1 мг белка.
Литература
Арутюнян А.В., Дубинина Е.Е., Зыбина Н.Н. Методы оценки свободнорадикального окисления и антиоксидантной системы организма: методические рекомендации. – СПб.: ИКФ «Фолиант», 2000. – 104 с.